동기기
- 동기 속도로 동작하는 교류기
* 동기속도가 아닌 채 동작하는 교류기는 유도기
형태 분류
- 돌극기 : 저속기, 수차 발전기(동기계, 단락비 0.6 ~ 0.9)
- 비돌극기 : 작고 긴 원통, 고속기, 터빈 발전기(철기계, 단락비 0.9 ~ 1.2) - 수소 냉각방식(화제 위험, 차폐)
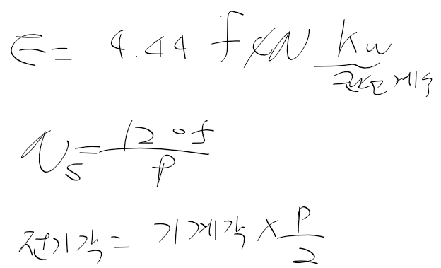
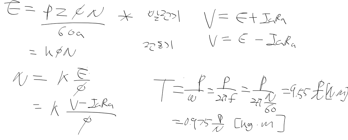
동기발전기 유기기전력, 동기속도, 전기각

권선법
- 단절권 : 비용 절감
- 분포권 : 2층이 아닌 나눠서, 불꽃 방지
=> 파형 개선
동기 발전기 특징
- 회전 계자인 이유 : 계자가 전기자보다 간단, 회전하기 좋고 튼튼, 직류 저전압 인가해 소모 전력이 적음.
- Y 결선인 이유 : 제 3고조파 제거, 이상 전압 방지, 정격 전압 root(3)배
* 변압기에선 delta 결선이 제 3고조파 제거한다.
전기자 반자용
- 횡축 반작용 R부하 : 교차 자화작용
- 직축 반작용 L 부하 : 전압이 전류를 앞선다(지상) -> L 부하 -> 자속 감소
- 직축 반작용 C 부하 : 전류가 전압을 앞선다(진상) -> C부하 -> 자속 증가
* 전동기는 반대
비돌극기 한상 출력
- 3상은 1상 출력의 x3

동기 임피던스
- 동기기의 회전자가 회잔하면 회전 자계가 발생하는데 대부분은 기자력에 영향을 준다(전기자 반작용)
- 그 중 일부는 전기자 권선만 쇄교해 자속을 생성한다.(작다, 전기자 누설 리액턴스)

전기자 누설 자속
- 전기자 반작용 : 전기자 전류에 의한 자속 중 계자 자속에 영향을 미침
- 전기자 누설 자속 : 주 자속 중 아주 적은 일부로 전기자 권선과만 쇄교하며 유기기전력에 영향을 주지 않는 자속
- 전기자 누설 리액턴스 : 전기자 누설 자속에 의한 역기전력
동기 임피던스
- 동기 리액턴스 : 전기자 반작용에 의한 리액턴스 x_a와 전기자 누설 리액턴스 x_l을 합한 것 x_a + x_l = x_s
- 동기 임피던스 : r_a + j * x_s = Z_s, 전기자 권선 저항과 동기 리액턴스의 합
동기 발전기 특성 곡선
- 무부하 포화 곡선 : 무부하 정격 운전 중 계자 전류와 단자 전압의 관계
- 부하 포화 곡선 : 부하 정격 운전 중 계자 전류와 단자 전압의 관계
- 3상 단락 시험 : 계자 전류와 단락 전류의 관계
=> 단락비 산출에 필요한 시험 : 무부하 포화 시험과 3상 단락 시험
- 외부 특성 곡선 : 부하 전류와 단자 전압의 관계

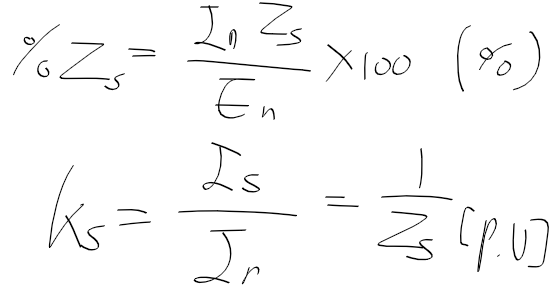
단락비
- 단락비 k_s = 단락 전류 I_s/ 정격 전류 I_n
- 동기 임피던스 Z_s = E_n/I_s
- 백분율 동기 임피던스 Z_s' = Z_s * I_n/E_n x 100 = 1/k_s
* P.U법 : Z_s' = Z_s * I_n/E_n[p.u] 정격 상전압을 1로 둘 때 백분율 동기 임피던스의 비
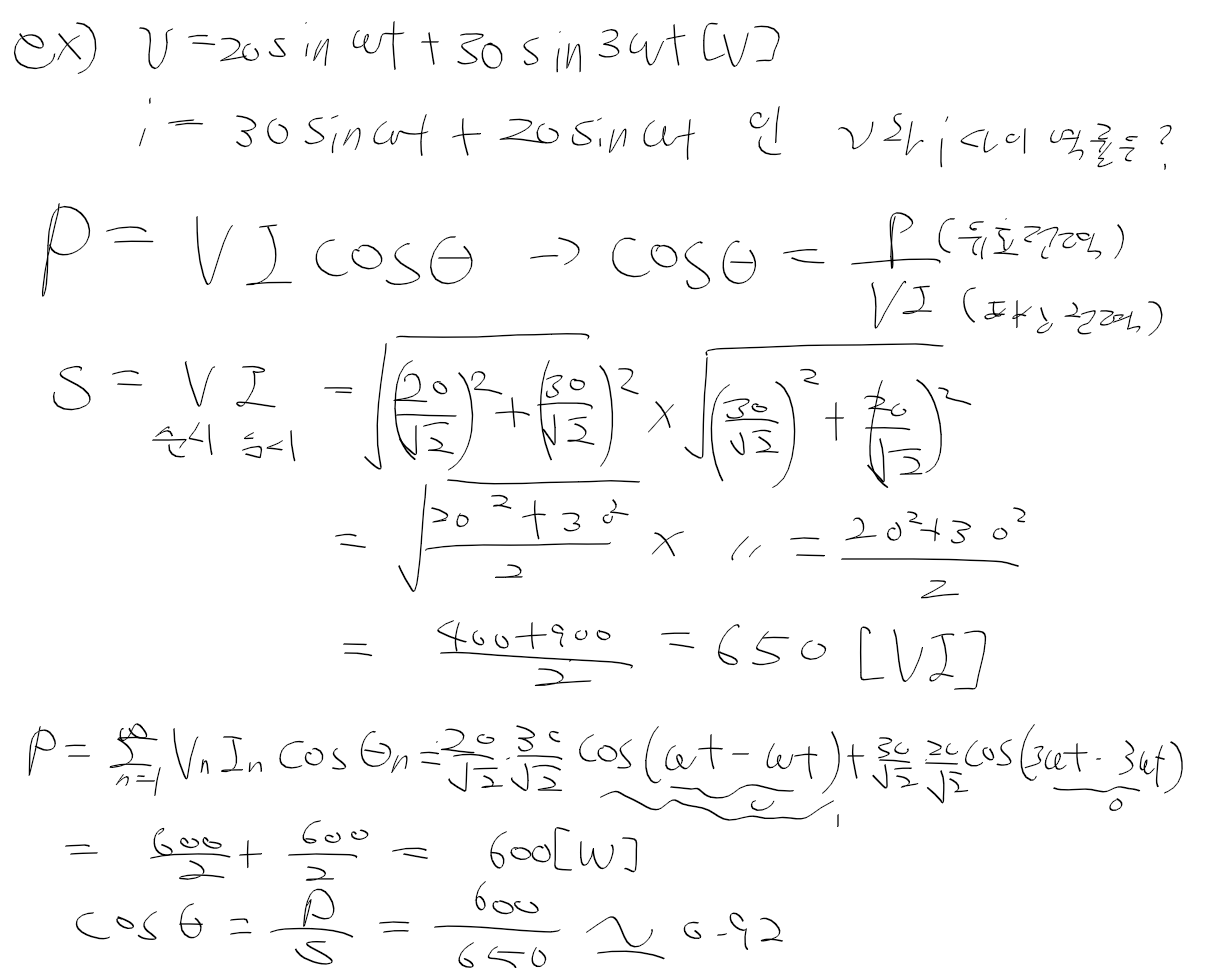
예제

단락비가 클 떄 특징
- 전압 변동률이 줄어든다.
- 동기 리액턴스가 줄어든다.
- 전기자 반작용이 작다.
- 안정도가 증가한다.
- 공극이 커진다.
- 비용이 크고, 효율이 낮다.

동기발전기 병렬 운전조건
- 위크주파(기전력)방
- 위상
- 크기
- 주파수
- 파형
- 방향
돌발 단락
- 평형 3상 전압 유기하는 발전기 3단자를 갑자기 단락시 큰 과도 전류가 흐르다 서서히 지속 단락 전류를 유지하는 것
- 단락시 순간적으로 튀다가 서서호 일정한 지속 단락 전류 값이 된다.
- 한류(누설) 리액터 : 돌발 단락전류를 제한하기 위해 다는 공심 리액턴스
여자기
- 여자기 : 동기기 계자권선에 직류 전원을 공급
* 그러고보니까 직류기에서는 직류 전원을 바로 계자에다가 줫었다.
* 교류기의 계자에 직류 전원을 주기 위해 사용하나보다.
- 직류 여자기 : 여자를 위해 별도의 직류발전기를 사용하는 것
- 정류 여자기 : 반도체 정류기로 정류 후 계짜 권선에 공급하는것. 회전기/정류자/브러시 x
=>유지보수가 용이해 선박/자가발전용으로 사용
'기타 > 전기, CAD' 카테고리의 다른 글
| micom 1 - LED 점멸 (0) | 2022.04.12 | 
|---|---|
| 대충 정리한 KEC (0) | 2022.04.11 | 
| 전기기기 3 - 직류 전동기 (0) | 2022.04.11 | 
| 전기기기 2 - 직류기 1 (0) | 2022.04.11 | 
| 전기기기 1 - 개론 (0) | 2022.04.11 | 














































