728x90
연산 증폭기 응용분야
- 선형 증폭기 : 반전/비반전 증폭기
- 연산 증폭기(연산기) : 미분, 적분, 더하기, 빼기
- 비교기, 파형 발생기
연산기
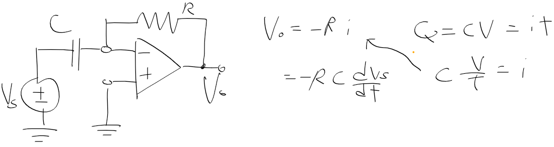
1. 미분기
- 반전 연산 증폭기에 저항 R1 대신 캐패시터 C를 사용하여 미분 연산을 하는 회로

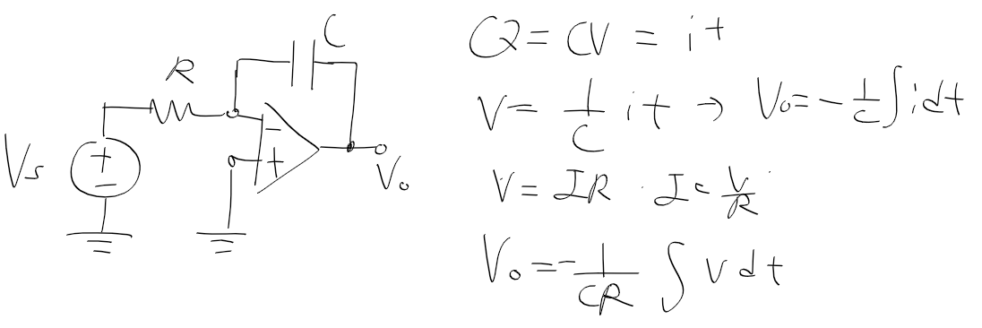
2. 적분기
- 반전 연산 증폭기에 저항 R2 대신 캐패시터를 사용하여 적분 연산을 구현한 회로

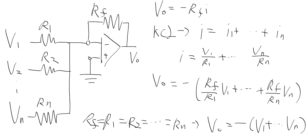
3. 가산기(가산 증폭기)
- 여러 입력 신호를 선형 합하여 증폭하는 회로
- 모든 저항이 같은 경우에 출력 전압은 입력 전압의 합의 반전이 된다.

4. 감산기
- 반전 연산 증폭기의 결과와 비반전 연산 증폭의 결과를 합
- 저항이 모두 같다고 가정하면 두 입력 v2, v1간의 차이가 결과 전압으로 나온다.

300x250
'기타 > 신호, 회로, 제어' 카테고리의 다른 글
| 전자산기 정리 - 전기자기학 & 회로이론 (0) | 2022.04.12 |
|---|---|
| 전자산기 정리 - 전자회로 (0) | 2022.04.12 |
| 복) 전자회로 3 - 연산 증폭기 (0) | 2022.04.09 |
| 복) 전자회로 2 - BJT (0) | 2022.04.08 |
| 복) 전자회로 1 - 다이오드 (0) | 2022.04.08 |