비정현파 발생
- 교류 회로는 가능한 전압/전류가 교류가 되도록 설계하지만 발전기에선 전기자 반작용, 변압기에선 자기포화, 히스테리시스 현상 등으로 정현파가 일그러짐. => 왜형파/비정현파
- 비정현파 = 연속파(대칭파 + 비대칭파) + 불연속파
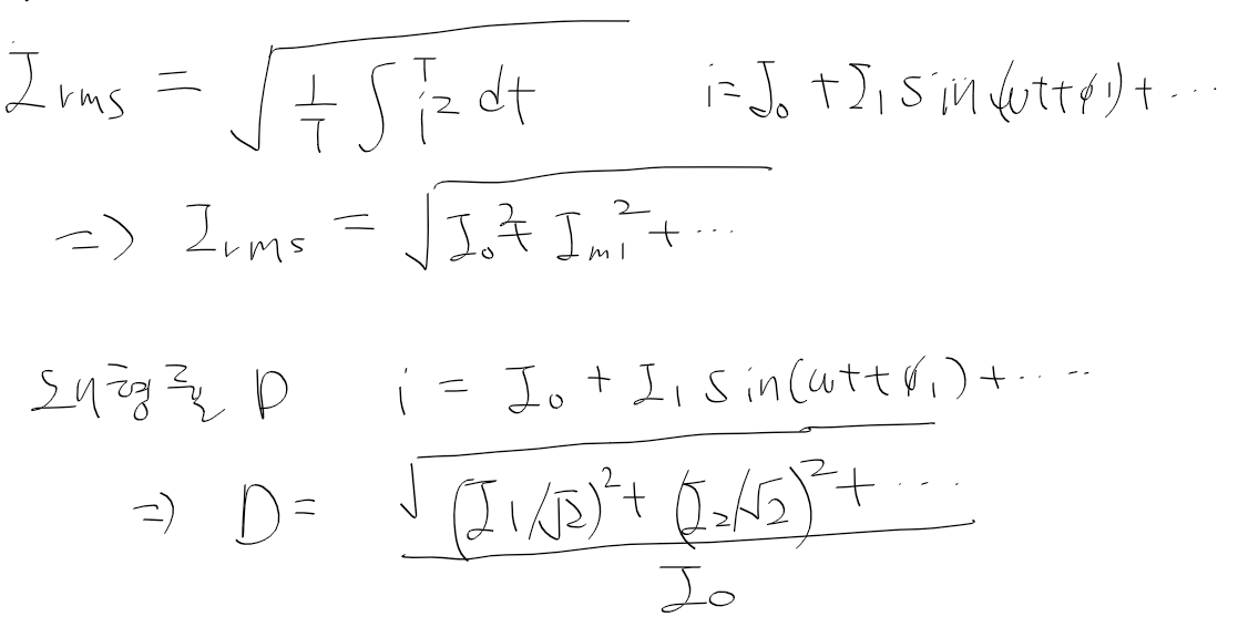
비정현파 실효값과 왜형률
- 비정현파 실효값 = 기본파 + 전고조파의 rms
- 왜형률 = 전고조파 rms/기본파 rms
* 맥동률 = 교류분/직류분, 불평형률 = 역상분/정상분

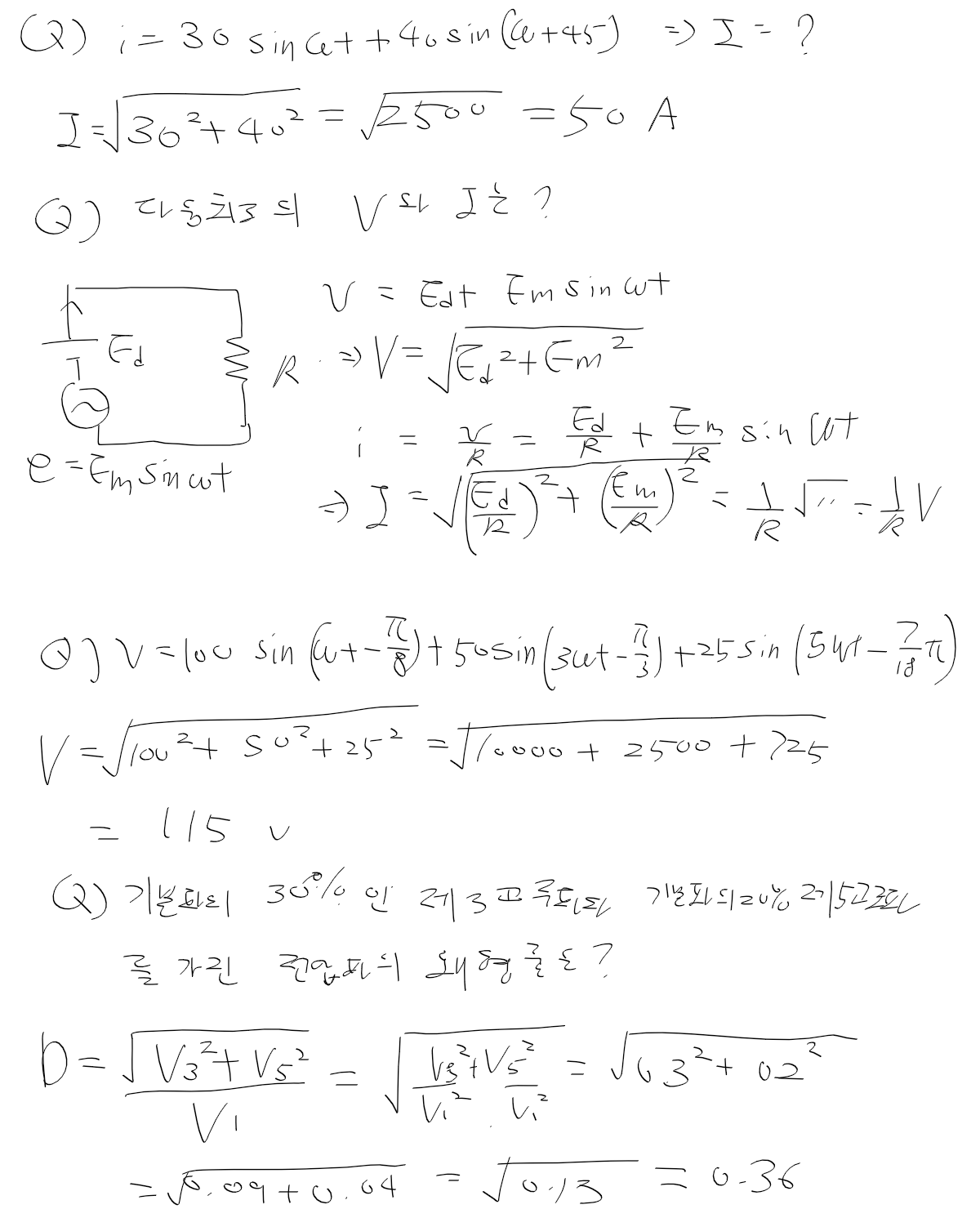
비정현파 실효값 왜형률 문제

비정현파 회로 계산
1. R 회로 : v와 i는 동상이므로
2. L 회로 : i는 v보다 90도 늦으므로
3. C 회로 : i는 v보다 90도 앞서므로

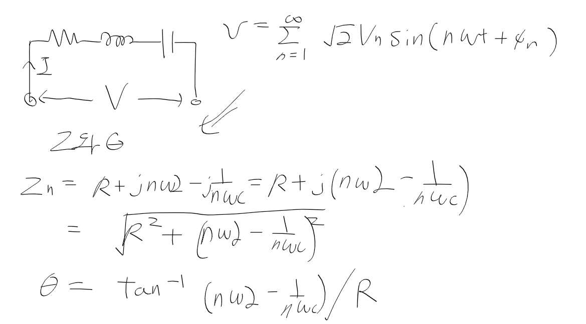
RLC 직렬 회로와 공진
- 다음의 RLC 직렬회로에 비정현파 인가시 n고조파 임피던스, 공진 주파수 등은 다음과 같다.

- 비정현파 전압 v와 임피던스로 전류 i를 구할 수 있으며

- n 고조파 공진시 해당 고조파 성분은 부하에 가지 않고 LC회로로 바이패스된다.

비정현파 전력
- 비정현파 v와 i가 주어질 때, 순시전력 p = vi를 이용하면 된다,
* 주파수가 다른 전압과 전류의 전력은 0이 되므로 같은 주파수간의 전력만 구하면 된다.
* 피상 전력 S는 인가 전압 v의 순시치 x 인가 전류 i의 순시치로 구한다.
* 유효 전력 P는 각 고조파의 (V 순시치 x I 순시치)들의 합으로 구한다.
+ (위상차가 없는)같은 고조파의 경우 P = V I cos theta에서 theta는 0이 되므로 cos theta는 1로 놓고 본다!
예제

'기타 > 신호, 회로, 제어' 카테고리의 다른 글
| 복) 전자회로 2 - BJT (0) | 2022.04.08 |
|---|---|
| 복) 전자회로 1 - 다이오드 (0) | 2022.04.08 |
| 회로이론 - 7-3. 3상 교류회로3 (0) | 2022.04.07 |
| 회로이론 - 7-2. 3상 교류 회로 2 (0) | 2022.04.07 |
| 회로이론 - 7-1. 3상 교류 회로 1 (0) | 2022.04.07 |