3상 시스템
- 주파수는 같고, 위상이 다른 세 교류 기전력을 사용하는 방식-
- 3상 기전력을 3pi emf라 부름.
3상 방식의 분류
1) 대칭 여부
- 대칭 3상 방식 : 3개의 기전력이 같고, 위상차가 2pi/3씩 다른 경우
- 비대칭 3상 방식 : 그렇지 않은 경우
2) 대칭 전원 여부
- 대칭 3상 전원 : 대칭 3상 방식 + 각 상의 내부 임피던스가 모두 같다.
- 비대칭 3상 전원 : 그렇지 않은 경우
3) 부하의 같은 지여부
- 평형 부하 balanced load : 각 상의 임피던스가 같은 부하
- 불평형 부하 : 각 상의 임피던스가 다른 부하
4) 평형 여부
- 평형 3상 회로 : 대칭 3상 전원 + 평형 3상 부하
=> 각 상의 기전력(대칭) 임피던스(대칭 전원)나 부하(평형)가 모두 같고, 위상차도 2pi/3씩 차이나는 회로
- 불평형 3상 회로 : 그렇지 않은 회로
=> 대칭(기전력 =, 위상), 대칭 전원(내부 임피던스 =), 평형 부하(부하 Z = ), 평형 회로(대칭 전원 + 평형 부하)
교류 회로 결선 방식
1) 성형 결선 star connection
- 동일 극성인 단자를 0점(중성점)에 묶어 결선
- 각 상의 외부 단자는 전원 단자로 이용
2) 환상 결선 ring connection
- 각 상의 극이 다른 단자 끼리 직렬 접속해 환상(원) 모양으로 접속
- 각 상의 단자를 전원 단자로 사용
3) Y 결선 : 3상으로 만든 성형 결선
4) 델타 결선 : 3상으로 만든 환상결선

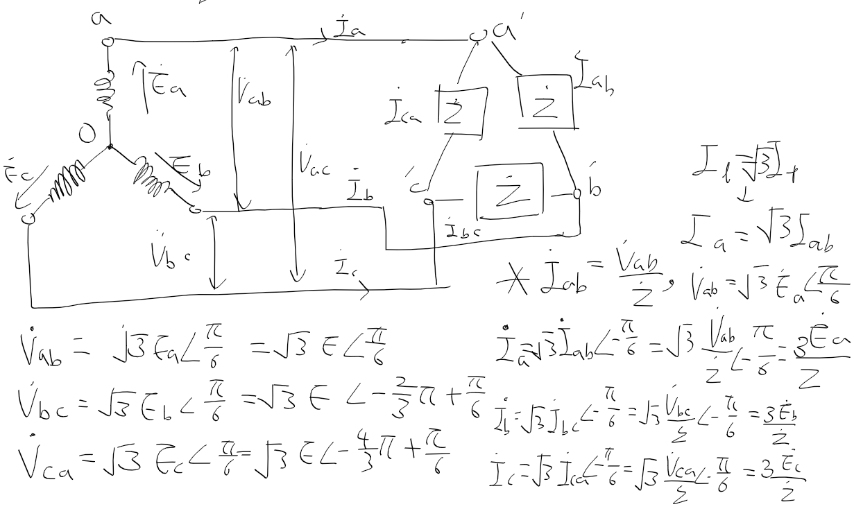
대칭 3상 교류 기전력
- 순시치 v_a, v_b, v_c는 모두 크기와 주파수가 같은 정현파, 위상만 2pi/3 씩다름

- 벡터연산자 a를 이용한 a, b, c 상전압 표시

- Y-Y 결선


예제

- 델타 결선

재정리
- 대칭 3상 회로 : 기전력=, 2pi/3씩 위상차
- 대칭 3상 전원 회로 : 대칭 3상 회로 + 내부 임피던스 =
- 평형 부하 3상 회로 : 3상 부하 임피던스 =
- 평항 3상 회로 : 대칭 3상 전원회로 + 평형 부하 3상 회로
=> 기전력/내부 임피던스/부하 임피던스= + 위상차 2pi/3
평형 3상 회로
1) Y-Y 회로 (전원, 부하 모두 Y결선)

2) Y-델타 회로

* 델타-Y, 델타-델타는 생략
예제 1

예제 2

예제 3,4

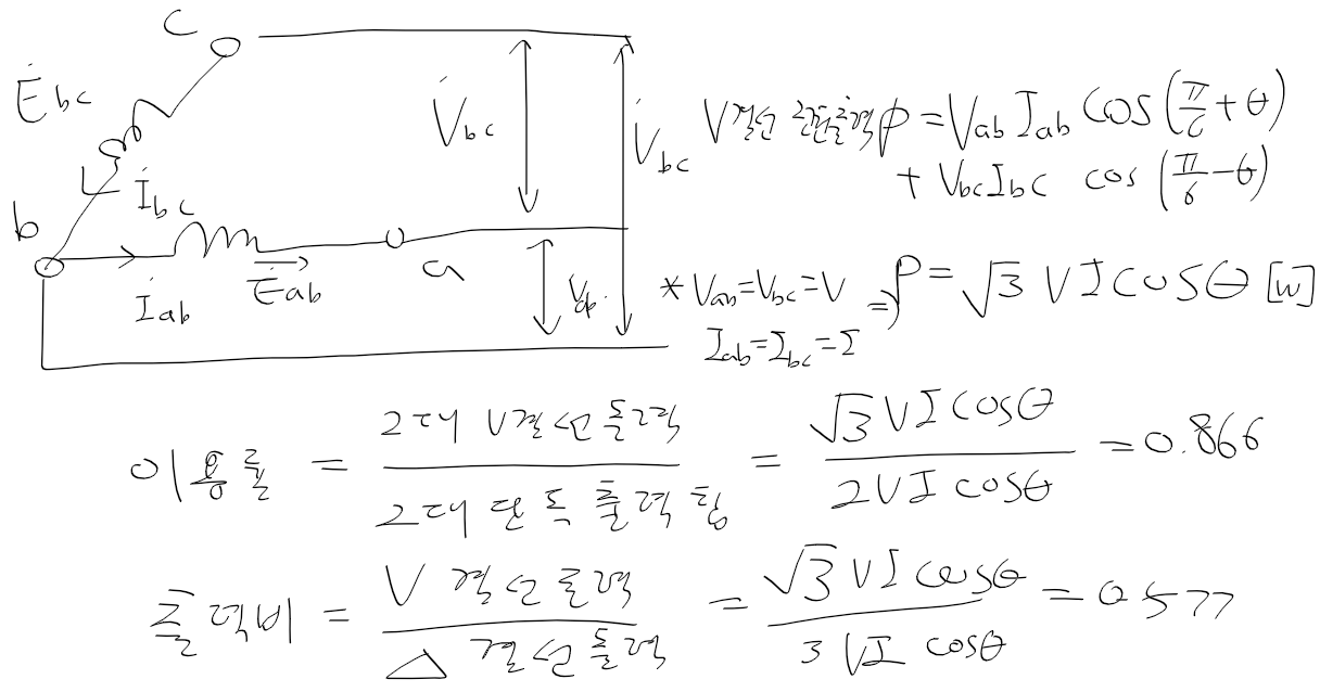
V결선
- 델타 결선에서 한 상의 전압/임피던스가 없는 경우
- 이용률 = 0.866(V결선 두대 출력/2대 출력 합)
- 출력비 = 0.577(V 결선 두대 출력/델타 결선 출력)

'기타 > 신호, 회로, 제어' 카테고리의 다른 글
| 회로이론 - 7-3. 3상 교류회로3 (0) | 2022.04.07 |
|---|---|
| 회로이론 - 7-2. 3상 교류 회로 2 (0) | 2022.04.07 |
| 전자 회로 11 - 제너 다이오드 (0) | 2022.04.04 |
| 전자 회로 10 - 다이오드 특성곡선 (0) | 2022.04.04 |
| 전자 회로 9 - 연산 증폭기 응용 (0) | 2022.04.04 |