728x90
불평형 3상 회로
- 3상 교류는 평형 회로로 설계 유지되지만..
1. 전원이 대칭이나 부하가 불평형
2. 사고로 인해 전원/부하 모두 불평형인 경우
=> 키르히호프 법칙 이용하자
* 평형 3상 회로 : 기전력=, 내부임피던스=, 위상차 2pi/3, 부하 임피던스=
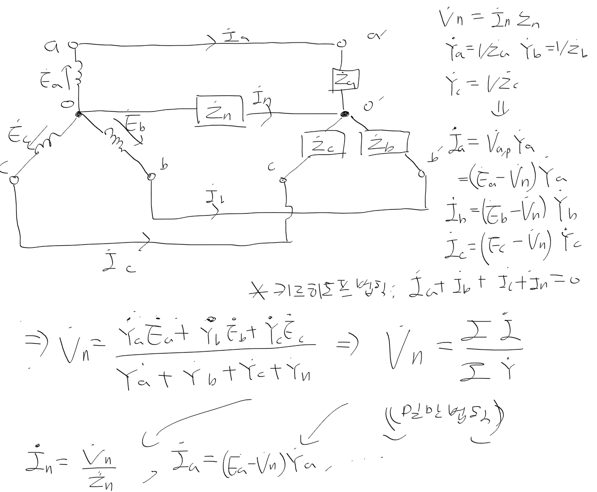
1) 중성점 접지식 Y-Y 회로
- 비대칭 3상 기전력, 불평형 부하가 주어지고, 중성점 O와 O'사이 임피던스 Zn이 존재
+ 전원 중성점 O를 영전위라 가정하면 => 3상 부하 중성점 O'는 전위 Vn 가짐
- 밀만의 법칙으로 중성점 전위 Vn을 구할 수 있으며 이 Vn으로 각 상의 전류를 구할 수 있다.

2) 중성점 비접지식 Y-Y 회로
- 위 중성점 접지식 Y-Y회로에서 Y_n = 0, I_n=0으로 놓고 계산하면 된다.
+ 전원이 대칭인 경우 : 상이 2pi/3씩 차이나고, 기전력=, 내부임피던스=
=> E_a = E, E_b = a^2 E, E_c = a E로 계산 가능!
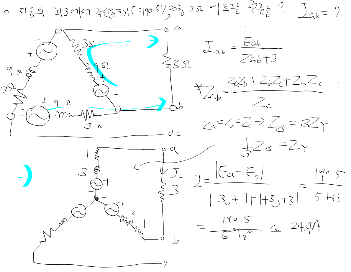
3) 불평형 델타 부하
- 다음의 델타결선 불평형 부하에 3상 전압 인가시 I_a, I_b, I_c는 아래와 같이 구할 수 있다.

예제

3상 회로 전력
- 3상 회로 전력 P는 델타나 와이결선이나 상전압 V과 상전류 I, 위상차 theta가 주어질때 다음과 같이 구하면 된다.

- 실제로 전압/전류계로는 선전류의 실효값, 선간 전류의 실효값을 측정하기 쉬우므로 다음과 같이 전력을 계산한다.

- n 상의 경우 선전압, 선전류, 전력은 다음과 같이 계산한다.

예제

300x250
'기타 > 신호, 회로, 제어' 카테고리의 다른 글
| 회로이론 - 8. 비정현파 교류 (0) | 2022.04.07 |
|---|---|
| 회로이론 - 7-3. 3상 교류회로3 (0) | 2022.04.07 |
| 회로이론 - 7-1. 3상 교류 회로 1 (0) | 2022.04.07 |
| 전자 회로 11 - 제너 다이오드 (0) | 2022.04.04 |
| 전자 회로 10 - 다이오드 특성곡선 (0) | 2022.04.04 |