데이터 분석 방법 복습
이산형
- 일원배치법
- 이원배치법
연속형
- 회귀모형
(다)중 회귀모형 multiple regression model
- 종속 변수의 변화를 설명하는데 두 개 이상의 독립 변수가 사용되는 회귀 모형
- 선형인 경우 다중 선형 회귀 모형
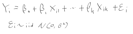
독립변수가 k개인 다중 회귀 모형
- beta0, ..., betak : 모집단 회귀 계수
- epsilion i : Yi를 측정시 오차

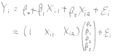
독립변수가 2개인 다중 회귀 모형
- 벡터로 나타내는 경우

다중 회귀 모형 - 행렬 + 독립변수 2개

상점의 총 판매액 자료를 이용한 다중 회귀 분석
- 독립변수 : 광고료 x1, 상점크기 x2
- 종속변수 : 총 판매액 y

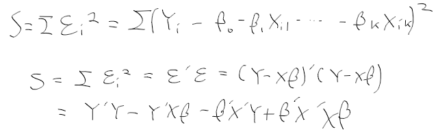
다중 회귀 모델 - 최소제곱법
- 행렬을 이용하면 쉽게 추정치 beta를 구할 수 있다.
- 다중 회귀 모델

- 오차에 대한 식

- 오차 제곱 합에 대해서 정리하면

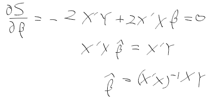
- beta에 대하여 미분하고, hat beta(estimate beta)를 구한다.

R로 다중 회귀 모델 구하기
- 결과


잔차 residual
- 관측값 Yi - 추정된 회귀값 hat Yi

- 추정값과 잔차 사이의 관계

햇 행렬 hat maixt
- 햇 행렬의 정의

- 다음 성질을 만족하는 멱등행렬 idempotent matrix

회귀 방정식의 신뢰성 보기
- 분산분석표에서 F 검정
- 결정계수
- 잔차 평균 제곱
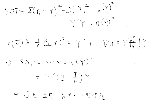
총 제곱합 SST

잔차제곱합

회귀제곱합

변동 분해

중회귀 분산분석표
- 검정통계량 F0 : 회귀방정식이 유의한가를 검정하기 위한 검정 통계량
- H0 : beta1 = beta2 = ... = 0 vs H1 : 하나의 betai != 0
- 유의수준 alpha에서 F0 > F(k, n-k-1;alpha) 인 경우 귀무가설을 기각 => 회귀방정식이 유의
- R에서 F0에 대한 유의확률 Pvalue가 유의수준 alpha보다 작다면 귀무가설 기각함

R로 회귀 식 구하기

- 분산분석표로 보기

결정계수 coefficient of determinantion
- 이 회귀 식이 얼마나 설명력이 있는지 나타내는 값 R^2
중 상관계수 mutiple correlation coefficient
- 단순 회귀에서 결정계수 R^2 = 두변수의 상관계수 제곱과 같다. corr ^2
- 중회귀 모델에서 결정계수 = 반응변수 Yi와 추정값 hat Yi의 상관게수의 제곱
=> 다중회귀모델에서 결정계수의 제곱근
'수학 > 통계' 카테고리의 다른 글
| 회귀모형 - 4. 회귀 모형 만들기 (0) | 2020.10.30 |
|---|---|
| 회귀모형 - 3. 회귀 모형에서 변수 선택 (0) | 2020.10.30 |
| 회귀모형 - 1. 단순 회귀 모형 (0) | 2020.10.30 |
| 실험계획 - 5. 회귀분석과 공분산 분석 (0) | 2020.10.29 |
| 실험계획 - 4. 이원배치 분산분석 (0) | 2020.10.29 |