회귀 모형 regression model
- 단순 회귀 모형 : 독립변수와 종속변수간에 선형적 관계를 갖는 경우 사용
- 다항 회귀 모형 : 독립변수와 종속변수간에 비선형적인 관계를 같는 경우
다항 회귀 모형 polynomial regression model
1. 독립변수가 하나인 경우 이차 다항 회귀 모형

2. 독립변수가 2개 인경우 이차다항회귀모형

다항회귀모형 예제 1
1. 데이터 로드, 플롯
- 연도별 교통범죄발생률과 승용차보급률
- 플롯시켰더니 약간 비선형적
=> 2차 다항 회귀모형으로 만들어보자.
* attach(데이터프레임). => plot시 데이터프레임$ 를 생략할수 있음

2. 모형 생성
- 구한 이차다항회귀모형은 아래와 같다.


다항회귀모형 예제 2 : 1990~1992년까지 마라톤 대회 5km 구간별 평균속도
1. 데이터 로드, 플롯
- 데이터 형태를 보니 3차 다항회귀모형을 만들자

2. 모형 추정
- beta0 ~ 3까지 pvalue가 매우 작음 => 유의

가변수 회귀모형 dummy variable regression model
- 독립변수에 이산형 변수가 포함되어있는 경우에 사용
- 가변수 dummy variable, indicator variable ; 두가지 값을 갖는 변수
- 예시 : 비누 생산공장에서 부스러기양과 공정속도

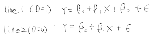
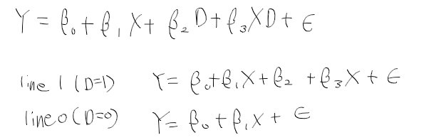
=> 교호작용을 고려한 모형

=> 교호작용이 없는 모형

R에서 실습
1. 데이터 읽고 산점도 그리기
- line0와 line1은 기울기는 차이없고, 공정에 따라 차이가 있어보임
=> 교호작용이없는 모형을 고려

2. 모델 생성
- 교호작용이 없는 모형

- 두 생산 라인은 beta2만큼의 차이가 존재
H0 : beta2 = 0을 기각한다면 => 두 생산공정에 차이가 존재

- p value가 매우 작으므로 두 생산 공정에 차이가 존재하며, 차이는 53정도.
- adjust R2는 0.9352로 유의


3. 모델 만들기
- 교호작용을 고려한 경우

- X:Dline1 의 경우 pval이 0.18로 유의수준보다 크므로 유의하지 않음.
=> 교호작용을 고려하지 않은 모형이 적합.

'수학 > 통계' 카테고리의 다른 글
| 다변량분석 - 1. 다변량 분석과 R 기초 (0) | 2020.11.03 |
|---|---|
| 회귀모형 - 5. 일반화 선형 모형 (0) | 2020.10.30 |
| 회귀모형 - 3. 회귀 모형에서 변수 선택 (0) | 2020.10.30 |
| 회귀모형 - 2. (다)중회귀모형 (0) | 2020.10.30 |
| 회귀모형 - 1. 단순 회귀 모형 (0) | 2020.10.30 |