그동안 계속 모집단에 대한 분포들을 연습했는데
모집단에서 추출한것이 표본이고
표본 수가 많으면 정규분포의 형태를 따르는 다나, 표본 평균의 평균/분산 까지는 이해가 되지만
표분 분산의 평균, 분산부터는 햇갈리기 시작한다 그래서
다시 표본 분포에 대해서 살펴보고자 한다
앞서 살펴보니 이 파트에서는
확률 표본을 구성하는 확률 변수. 합의 분포와 변수 변환법으로 확률 변수함수의 분포를 본다고 한다.
내가아는 용어
* 확률 변수 : 표본 공간을 수로 만들어주는 함수 였엇지..
* 통계량 : 평균, 분산 등.
그 다음에는 확률 표본의 통계량인 표본 평균, 표본 분산과 관련된 분포 등에 대해서 다시 보자.
다시 용어정리
- 확률 표본 : 모집단에서 독립적으로 추출한 표본

- 통계량 : 모수 추정에 적합한 확률 표본들의 함수
ex. 표본 평균, 표본 분산

- 표본 분포 : 통계량의 확률 분포
ex. 표본 평균의 평균과 분산, 표본 분산의 평균과 분산
- 변수 변환법 : 확률 변수 함수에 대한 확률 밀도 함수를 구하는 방법
- 카이제곱분포 : 포본 분포에 대한 분포
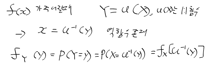
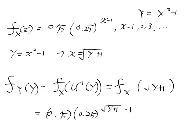
이산형 변수 변환
- 통계량은 확률 변수의 함수
- 통계량 분포를 구하기 위해선 확률 변수 함수에 대한 분포를 구해야함

이산형 변수변환 예시 - 새로운 확률 변수의 확률 분포 구하기

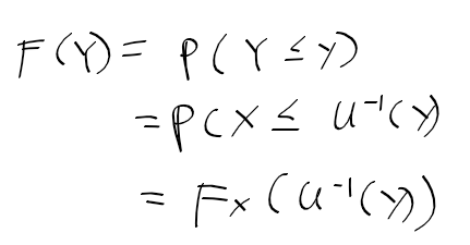
연속형 확률 변수
- 이산과 달리 점확률이 존재하지 않으므로 누적 확률 분포를 사용하여야 함.

- 새 변수 Y에 대한 확률 밀도를 구해야하므로 미분하면

연속 확률 변수 변환 예제

합과 평균의 확률분포
- 표본으로 구한 통계량들을 보면 확률 변수의 합 형태가 됨
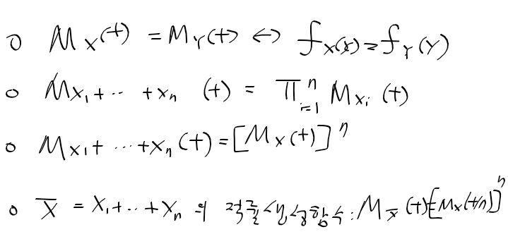
=> 확률 변수 합의 확률 분포는 변수 변환법을 사용할수도 있지만 적률 생성 함수를 사용할수도 있음.
적률 생성 함수 성질

적률 생성함수 예제 1
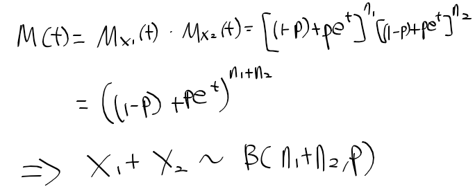
- X_i ~ B(n_i, p)의 경우 X1 + X2의 확률 분포를 구해보자

적률 생성함수 예제 2
- Xi ~ Gamma(gamma_i, lambda), X1 + X2 + X3 + X4의 분포를 구해보자

카이제곱 분포
- 통계적 추론을 위해선 표본 평균과 표본 분산의 확률분포를 알기 위해서 필요한 분포로 카이 제곱, t분포가 있음
- 모분산 추정, 적합도 검정, 교차표 검정에 이용
- 감마 분포의 특수한 경우로 Gamma(r, lambda)에서 r = n/2, lambda = 1/2임
=> 확률 변수 X는 자유도 n인 카이제곱 분포를 따르게 됨.
* 원랜 비대칭적이나 자유도가 커질수록 대칭적으로 됨.

카이제곱 분포의 기댓값, 분산, 적률 생성함수

카이제곱 분포의 특성
- 정규 분포를 따르는 확률변수 Xi를 표준화 하고 제곱하면 자유도가 1인 카이제곱 분포를 따르게 된다.

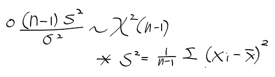
- 확률 변수가 (n-1) 표본분산/분산인 경우, 자유도가 n-1인 카이제곱 분포를 따른다.

'수학 > 통계' 카테고리의 다른 글
| 통계 - 7. 점추정 (0) | 2020.10.25 |
|---|---|
| 통계 - 6. 표본분포 (0) | 2020.10.25 |
| 통계 - 4.연속 확률분포 (0) | 2020.10.24 |
| 통계 - 3.이산 확률 분포 (0) | 2020.10.24 |
| 통계 - 2. 확률 이론 (0) | 2020.10.23 |