연속 확률 분포 continuous probability distribution
- 균등 분포, 정규 분포
- 지수 분포, 감마분포, 베타 분포, 카우치 분포 등
균등 분포 uniform distribution
- 확률변수 X = b - a
- a분에서 b분까지 기다리는 시간

균등분포의 확률밀도함수

균등 분포의 기댓값과 분산

지수분포 exponential distribution
- 사건이 첫 번쨰로 발생할때 소요되는 대기시간 T의 분포
T ~ Exp(lambda)

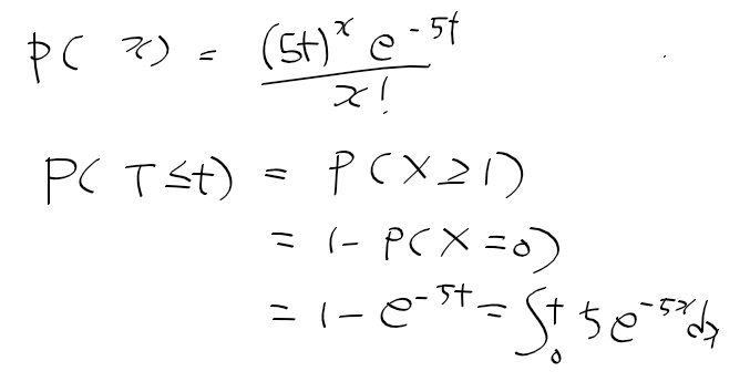
지수분포와 포아송 분포
- 포아송 분포가 n이 충분히 클때 p이 0에 가까운 사건이 발생 횟수에 대한 확률 분포
- 버스 정류장에 한 시간에 5대씩 온다고 하면
- t 시간당 버스 도착 대수는 Poisson(5t)를 따른다고 할수 있다.

=> 쭉 전개해 나가면 지수 분포의 확률 밀도 함수를 구할 수 있다.
지수분포의 기대값, 분산, 적률생성함수

지수분포의 망각성
- a시간 동안 사건 발생 하지 않았다고 할떄, b를 더 기다리는 확률.
- 처음 a시간 만큼의 대기시간은 상관없음

지수분포 예제
- 노트북 수명 X가 평균 10년으로 Exp(1/10)을 따른다면, 5년 동안 사용한 노트북을 5년 더 사용할 확률

감마분포 gamma distribution
- r번쨰 사건이 발생할떄까지 대기시간 T의 분포
- T ~ Gamma(r, lambda)
* 감마분포도 지수분포와 마찬가지로 포아송 분포와 관련

감마 분포 예제
- 비행기 엔진이 두번째 결함이 일어나는 기간을 Gamma(2, 0.1)을 따를떄, 결함이 5년 뒤 나타날 확률

감마분포 기대값, 분산, 적률 생성함수

포아송/지수/감마, 카이 제곱 분포
- 포아송 분포 : n이 충분히 크고, p=0에가깝고, np=lambda일떄, 발생 횟수에 관한 분포 Poisson(lambda)
- 지수 분포 : 첫번째 사건이 발생할때까지 대기시간 T의 분포 Exp(lambda) = Gamma(1, lambda)
- 감마 분포 : r번째 사건이 발생할때까지 대기 시간 T의 분포 Gamma(r, lambda)
- 카이제곱분포 : Gamma(r, 1/2)
정규 분포 normal distribution
- 종모양의 대표적인 확률분포
- X ~ N(mu, sigma^2)
- 평균(기대값) mu : 위치 모수 location parameter
- 분산 : 척도 모수 scale parameter

정규분포의 적률 생성 함수

R 실습
1. 이항 분포




'수학 > 통계' 카테고리의 다른 글
| 통계 - 6. 표본분포 (0) | 2020.10.25 |
|---|---|
| 통계 - 5.표본분포 (0) | 2020.10.24 |
| 통계 - 3.이산 확률 분포 (0) | 2020.10.24 |
| 통계 - 2. 확률 이론 (0) | 2020.10.23 |
| 통계 - 1. 통계 개요 (0) | 2020.10.23 |