728x90
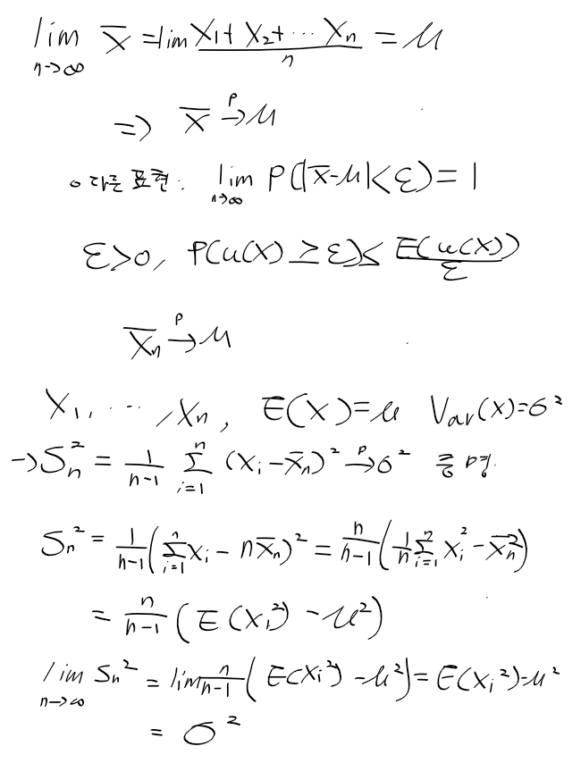
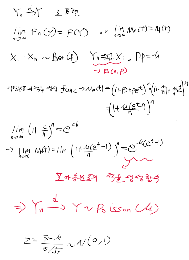
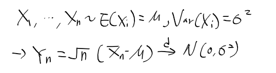
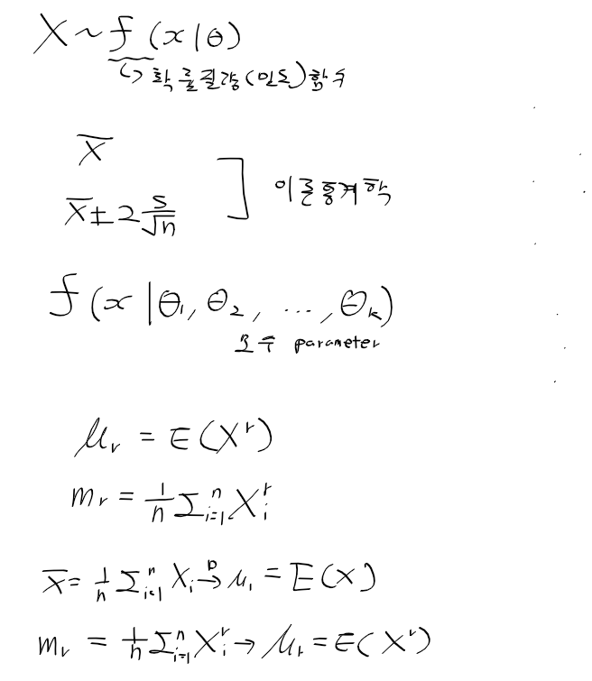
점추정 열심히 정리했는데 잘못 저장해서 날려먹엇다 ..
그냥 필기한거 복붙



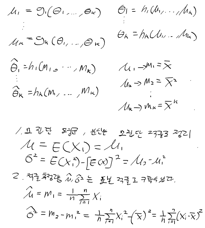
적률 추정법


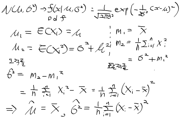
정규분포 적률 추정량 구하기

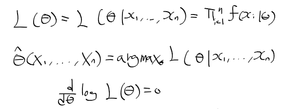
가능도 함수와 최대가능도함수로 최대 가능도추정량 구하기

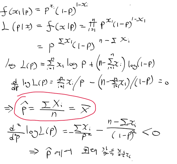
최대가능도법으로 모수 p 추정하기

베르누이분포 최대가능도 구하기

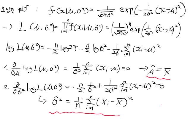
정규분포 최대가능도 구하기

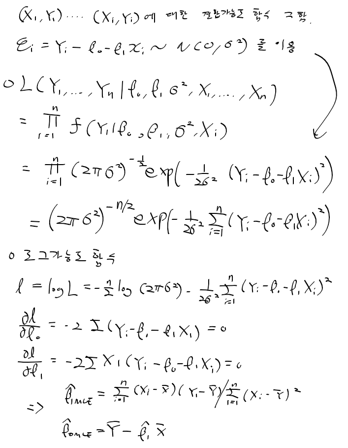
단순 선형 회귀 모델 simple linear regression model
- 회귀계수 beta0는 절편 intercept, beta1은 기울기 slope, 오차 epsilion ~ N(0, sigma^2)

단순 선형 회귀 모델 예제 - 회귀계수 beta0, beta1의 최대가능도추정량을 구하자

R 실습
1. 베르누이 분포 최대 가능도 함수로 확률 구하기

2. 정규분포 최대 가능도 함수
표본으로 추정한 모수(평균 키와 분산)
1. 최대 가능도 함수로 모수 추정
2. 가능도 함수로 데이터 만들고 plot

3. 단순 선형회귀 모델 beta0, beta1, sigma^2 최대 가능도 추정량 구하기

300x250
'수학 > 통계' 카테고리의 다른 글
| 통계 - 9. 복습? (0) | 2020.10.26 |
|---|---|
| 통계 - 8. 점추정량 비교 (0) | 2020.10.26 |
| 통계 - 6. 표본분포 (0) | 2020.10.25 |
| 통계 - 5.표본분포 (0) | 2020.10.24 |
| 통계 - 4.연속 확률분포 (0) | 2020.10.24 |