728x90
확률 변수
- 표본 공간을 수로 바꾸는 함수
확률 분포
- 이산형 확률 변수 : 베르누이 분포, 이항분포, 포아송 분포, 기하/초기하분포
- 연속형 확률 변수 : 균등분포, 지수분포, 감마분포, 정규분포 등
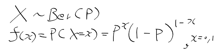
베르누이 분포
- 베르누이 시행 : 시행 결과가 두가지 중 하나 뿐인 시행
- 비르누이 시행의 확률 변수 X에 대한 분포
ex. 불량품 여부, 찬성 여부

베르누이 분포 예시
- 게임 승리률이 60%라 가정할때, 승리 시 확률변수가 1 아니면 0인 경우 확률질량함수

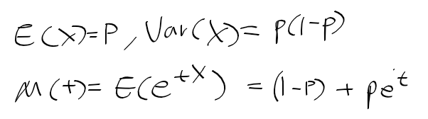
베르누이 분포의 기대값, 분산, 적률생성함수

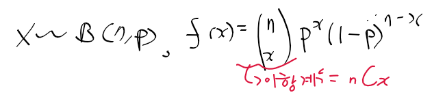
이항 분포 Binomial distribution
- n번 베르누이 시행을 독립 적으로 반복했을때 성공 횟수를 확률 변수 X로 할때의 확률분포
ex. 동전을 n번 독립적으로 던진경우 앞면 총수

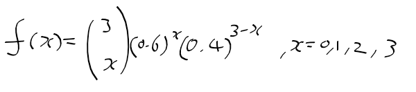
이항 분포의 예시 1
- 게임 승리율이 60%, 게임 3회시 승리 횟수(X)에 대한 확률 질량 함수는

이항 분포의 예시 2
- 위 예시에서 3번다 승리할 확률

이항 분포의 기대값, 분산, 적률생성함수

포아송 분포 Poisson distributioni
- 특정 기간/영역에서 사건이 일어날때 사건의 수를 확률 변수로 하는 분포
1. 이항분포에서 n이 충분히 크고
2. 성공률이 p가 0에 가까우며
3. 평균이 np = lamdba인 분포

포아송 분포의 기대값, 분산, 적률 생성 함수

300x250
'수학 > 통계' 카테고리의 다른 글
| 통계 - 5.표본분포 (0) | 2020.10.24 |
|---|---|
| 통계 - 4.연속 확률분포 (0) | 2020.10.24 |
| 통계 - 2. 확률 이론 (0) | 2020.10.23 |
| 통계 - 1. 통계 개요 (0) | 2020.10.23 |
| 데이터분석 - 13. 확률기초 4 (0) | 2020.10.22 |