관련 용어
- 모집단 population : 알고자 하는 대상 집합
- 랜덤 추출 random sampling : 임의의 표본 추출
- 랜덤 표본 random sample : 모집단에서 추출한 표본
- 모수 parameter : 모집단의 특징을 나타내는 값 ex. 모평균, 모분산
- 통계량 statistics : 표본을 이용하여 추정하고자 하는 값에 대한 함수 ex. 표본 평균, 표본 분산
- 추정 estimation : 표본을 이용하여 모집단에 대한 값을 추정하는 과정
- 점추정 point estimation : 모수에 대한 추정
- 구간 추정 interval estimation : 모수에 대한 추정과 추정의 정확률
- 신뢰 수준 confidence level : 모수가 참이라 속할것으로 기대되는 구간에 못가 포함될 확률
- 통계적 가설 statistical hypothesis
- 검정 통계량 test statistic
- 귀무 가설 H0 null hypothesis : 일어날 가능성이 적다고 판단하는 가설. 참인지 판단하고자하는 가설
- 대립가설 H1 : alternative hypothesis : 귀무가설에 대립되는 가설
- 기각역 rejection region : 검정 통계량이 기각역에 들어가는지를 보고 귀무가설 기각여부 판단
- 유의 수준 significant level : 제1 종 오류를 범하는 최대 허용 확률
- 유의 확률 significant probability : 귀무가설이 맞다고 할때 주어진 데이터가 우연히 대립가설을 지지할 확률

t 검정
- 모집단의 분산을 모를떄, 모집단을 대표하는 표본으로 부터 추정된 분산을 이용하여 t분포에 의존해 검정하는 방법
두 모집단 비교
- 가정

- 공통 분산 sigma2는 합동표본분산 S_p^2(pooled sample variance)로 추정

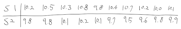
두 모집단 비교 예제 1
- 약의 생산 후와 1년 후 약효 측정 결과

- mu1, mu2가 생산 직후와 1년후 약의 평균 약효
=> 1년이 지나도 약효가 보존되는지 가설 검정
1) 가설 설정

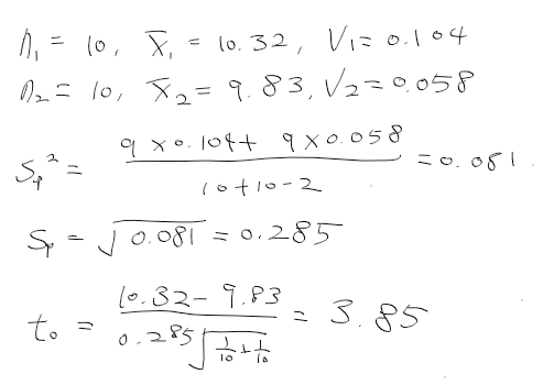
2) 검정 통계량 구하기

3) 의사결정
- 검정 통계량 3.85가 자유도가 18인 t분포에서 alpha가 0.025인 경우 2.101으로 보다 크다
=> 귀무 가설은 기각
유의수준 0.05에서 약을 오래 보존하면 달라진다.

4) 신뢰 구간

t 검정 결과
- 유의수준 0.05일떄, 자유도 18, 검정 통계량 t0 = 3.8511
- 유의확률 p value = 0.00117로 0.05보다 훨씬 작으므로 귀무가설 기각

'수학 > 통계' 카테고리의 다른 글
| 실험계획 - 4. 이원배치 분산분석 (0) | 2020.10.29 |
|---|---|
| 실험계획 - 3. 일원배치 분산분석 (0) | 2020.10.29 |
| 실험계획 - 1. 실험 계획 개념 (0) | 2020.10.29 |
| 파이썬R - 8. 분산 분석 (0) | 2020.10.28 |
| 파이썬R - 7. 평균 검정 (0) | 2020.10.28 |