실험 계획법
- 대표적인 분석 방법 -> 분산 분석
- 실험을 어떻게 계획하고 분석하는가
를 실험계획법에서 배운다.
분산 분석
- 요인이 한개인 경우 -> 일원 배치 분산 분석
- 요인이 여러개 인 경우 -> 이원 배치 분산 분석
1. 일원분산분석 예제
- 목화 함유량 퍼센트 pct 에 따라 섬유 장력 tensile을 측정한 자료가 주어질때
- 요인은 목화 함유량
- 실험 수준 : 15%, 20%, 25%, 30%, 35% 다섯개 처리 선택
- 각 수준별로 5회씩측정
=> R과 파이썬으로 일원분산분석 하자
요인(인자 ) : pct
수준 ; 5
Y : 장력 tensile
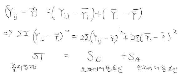
분산 분석이라는 용어의 이유
-


- 변동을 분해한 표 -> 분산 분석표
분산 분석
1. 분산분석표 작성 : 수준 간에 차이가 있는가, 없는가 본다.
2. 다중 비교 : 수준 간에 차이가 존재한다면, 어느 수준 간에 차이가 존재하는가?
1.1 R
수준간 차이가 있는지 보려면
수준별 상자그림을 그려보자

그룹별 기술 통계량 보면

유의한지?
일원배치 분산 분석으로 다룬다
분산분석 aov함수
- aov(종속변수 ~ 요인, 데이터)
총 데이터 25개
- df 24(잔차 20 + pct 4) = 25 - 1
- F value = 14.76
- P value = Pr(F > 14.76) = 9.13e-06
p value가 매우 작으므로 귀무가설 기각

다중 비교 분석
- 어느 수준간에 차이가 존재하는지 다중 비교분석 필요
- tukey 방법
- duncan 방법
- scheffe 방법
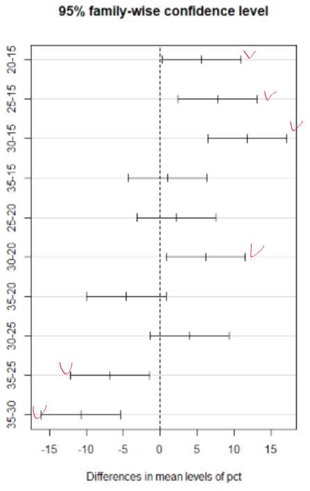
Tukey방법으로 다중 비교 분석
- TukeyHSD(fit)

다중비교분석 플로팅
#Tukey 방법으로 다중 비교 분석
tukey.test = TukeyHSD(fit)
plot(tukey.test)

2. 이원 분산분석
- 온도와 판유리 종류별로 유리 강도에 차이가 있는지 이원분산분석
- 온도 100도, 125도, 150도/ 유리 종류 1, 2, 3/ 각 3회 반복
=> 총 27회 랜덤하게 실험하여 얻은 데이터 사용
* 아깐 목화 함유량 pct에 의한 장력 tencile 을 보았다면 이번엔 유리 종류와 온도에 따른 분석 수행

데이터 읽고 head
- temp가 100, 125, 150..으로 되어있으니
- 100 = 1, 125 = 2, 150 = 3으로 변경(car 패키지 사용)

car 패키지의 recode 함수
- 온도를 변경

변수를 명목형으로 변경

분산분석 및 분산분석표 출력
df보고..
- glass 수준 3가지
- temp 수준이 3가지
- sum of sq/df -> mean sq
- F val = mean sq/ df
- *** => 유의한 차이가 있다.

분산분석 결과 ploting
interaction.plot()

'수학 > 통계' 카테고리의 다른 글
| 실험계획 - 2. 두 모집단 비교 (0) | 2020.10.29 |
|---|---|
| 실험계획 - 1. 실험 계획 개념 (0) | 2020.10.29 |
| 파이썬R - 7. 평균 검정 (0) | 2020.10.28 |
| 파이썬R - 6. 파이썬 기술통계 (0) | 2020.10.28 |
| 파이썬R - 5. R 기술통계 (0) | 2020.10.28 |