가능도비검정. 최강력검정을 확장, 일반화
분할표를 이용하는 카이제곱검정
유의성 검정
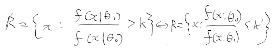
최강력 검정
- 단순 가설이 존재

- 최강력 검정의 기각역 (R)

복합 가설에서의 가설검정
- 복합 가설하의 확률 밀도함수가 하나로 결정할 수 없음
-> 확률밀도함수 비를 바탕으로 최강력 검정 사용에 제약
- 하나로 결정되지 않는 확률 밀도함수 대신 각 가설하의 최대가능도를 이용

최대 가능도비
- 귀무가설 하 theta의 최대가능도 추정량 hat theta0

- 대립가설 하 theta의 최대가능도 추정량 hat theta1

가능도비 검정 likelihood ratio test
- 귀무 가설하 최대가능도와 모수 전체에서 구한 최대가능도의 비에 의해 기각역이 정해지는 검정
- 최대가능도비를 사용한 기각역 R (k' <1)

- 상수 k' : 주어진 유의수준 alpha에 따라 결정
- 다시 정리하면. 귀무 가설 (H0: theta가 omega0에 속한다) 하 최대가능도와
모수 전체(omega = omega0 합집합 omega1)의 최대 가능도의 비에 의해 기각역이 정해지는 검정

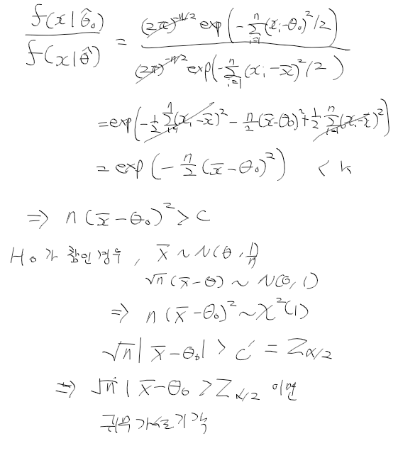
가능도비 검정 예제
- X1, ..., Xn ~ N(theta, 1)의 확률 표본
- H0: theta = theta0 vs H1: theta != theta0에 대한 유의수준 alpha에서 가능도비 검정을 구하자

가능도비 검정의 기각역
- 귀무가설이 참일떄 가능도비의 로그변환된 식의 근사적 분포는 카이제곱 분포를 따른다.

- 자유도 d.f : (모수 전체 영역에서 추정하는 모수의 수) - (귀무가설이 참인 영역에서 추정하는 모수의 수)
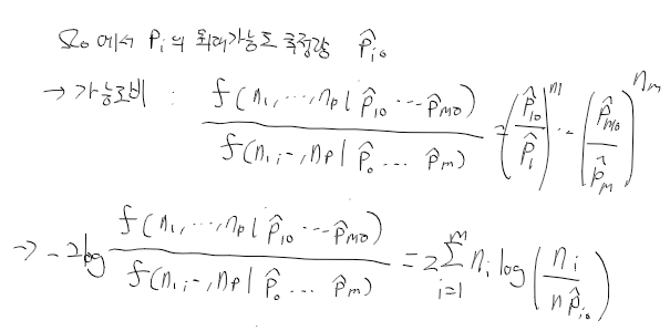
분할표 검정 contingency table test
- m개의 범주에서 빈도수를 N1, .... , Nm
- 각 범주에 속할 확률을 P1, ..., Pm

- 전체 빈도수를 n이라 할때 빈도수는 다항분포를 따름. 확률질량 함수는 다음과 같다.
* 이항분포가 2개중 1개를 선택한다면 다항분포는 m개중 1개를 선택

- 귀무가설과 대립 가설이 다음과 같을때

- 모수 전체 영역에서 pi의 최대가능도 추정량은 다음과 같다.

- 가능도비

- 유의수준 alpha 가능도비 검정의 기각역

- 테일러 급수를 이용한 근사

카이제곱 검정
- 다음의 귀무가설과 대립가설이 주어질떄

- 테일러 급수 근사한 유의수준 alpha 에서 가능도비검정의 기각역은 다음과 같다.

- 이 검정을 칼 피어슨이 처음 제안하여, 피어슨의 카이제곱 검정.
- 이것을 이용하여 적합도 검정, 독립성 검정 수행.
통계적 가설검정 이야기
- 피셔의 유의성 검정 : 귀무가설에 대하여 p 값 이용
- 네이만과 피어슨의 가설검정 : 귀무가설과 대립가설에 있어서 1종 오류를 발생시킬 확률과 2종 오류를 발생시킬 확률에 기반한 방법
피셔의 유의성 검정
- p value : 귀무가설 하에 주어진 관측값보다 극단적인 값을 얻을 확률 -> 귀무가설에 반대되는 근거
- 귀무 가설만 설정, 주어진 관측값에 이 가설이 부합하는지 알아봄.
=> 네이만과 피어슨이 피셔의 검정을 개선함
네이만과 피어슨의 검정 방법
- 귀무가설과 대립가설 설정
-> 1종 오류 확률 alpha, 2종오류 확률 beta, 검정력
- 주어진 alpha에 대해 대립가설을 고려하여 최적의 기각역을 구함.
'수학 > 통계' 카테고리의 다른 글
| 통계 - 15. 표본 분포와 가설검정 (0) | 2020.10.27 |
|---|---|
| 통계 - 14. 구간추정 (0) | 2020.10.27 |
| 통계 - 12. 통계적 추정 1 (0) | 2020.10.26 |
| 통계 - 11. 통계적 가설 검정 (0) | 2020.10.26 |
| 통계 - 10. 점추정량 비교2 (0) | 2020.10.26 |