피셔의 밀크티 실험
- 주장 : 우유에 차를 넣은 홍차와 차에 우유를 넣은 홍차의 맛을 감별할 수 있다.
- 전체 8개의 잔 중에서 차를 먼저 넣은 잔이 4잔이 있음.
- a는 홍차를 먼저 넣었다고 올바르게 판단한 잔의 수. a는 0~4 중 한가지 값.

- 해당 주장이 근거가 없다는 가정하에 여덟 잔중에 먼저 4잔을 찾아낼 확률

- 차를 넣은 네 잔을 정확히 찾을 확률을 1/70으로 매우 작음.
=> 통계적인 관점에서도 주장이 틀렷다고 말하기는 힘들다
- 정확히 4잔을 찾기도 힘듦으로
밀크티 실험 가설
- 가설 1 : 차와 우유 둘 중 무엇을 먼저 넣었는지 알수 있다.
- 가설 2 : 차와 우유 둘 중 무엇을 먼저 넣었는지 알 수 없다.
가설 검정 개요
- 통계적 가설검정 : 확률 표본으로 모집단의 배반적인 두 가설중 무엇이 타당한지 판단
- 대립가설 H1 : 입증하려는 가설
- 귀무가설 H0 : 대립가설에 반대되는 가설
통계적 가설검정
- 실험을 통해 얻은 자료, 데이터로 어느 가설이 타당한지 판단하는 것.
- 귀무 가설이 참이라는 가정 하에 주어진 관측값보다 더 벗어난 값을 얻을 확률이 작다면
-> 귀무 가설이 참이라는 가정은 올바르지 않다고 판단.
가설 검정 hypothesis testing 의 개요
- p-값 : 귀무 가설 하에서 주어진 관측값보다 더 극단적인 값을 얻을 확률
-> p값이 작다는 것의 의미 : 귀무가설이 참이 아니거나 귀무가설이 참이라면 매우 희귀한 사건이 발생
- 기각역 R : 귀무가설을 기각하는 관측값의 영역
-> 관측값이 기각역 R에 속하면 귀무가설 기각
-> 관측값이 기각역에 속하지 않으면 귀무가설을 기각할수없음
검정 오류
- 제 1종 오류 alpha : 귀무가설이 참이라는 하에서 기각하는 확률
- 제 2종 오류 beta : 대립가설이 참이라는 가정하에서 기각하지 못하는 확률

- 검정력 : 대립가설이 참일때 귀무가설을 기각할 확률

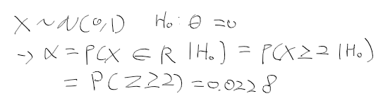
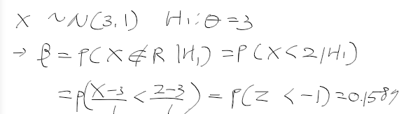
검정력 예제
- 다음의 조건 하에 제1 종 오류, 제 2종 오류를 범할 확률, 검정력을 구해보자

- 제 1종 오류 alpha : 귀무 가설이 참이라는 가정 하여 기각하는 확률

- 제 2종 오류 beta : 대립 가설이 참이라는 가정하에 기각하지 않을 확률

- 검정력 power : 대립가설이 참일때 귀무 가설을 기각할 확률로 1 - beta

검정
- 기각역 R에 의해 결정
- R = {x | x>=c}, 제 1종 오류와 제 2종 오류
-> c의 값에 따라 alpha가 커지고 beta가 작아지거나. 반대의 현상이 나타날 수 있음
검사 특성 곡성 operating characteristic curve
- 제 1종 오류를 작게하면 검정력이 작아짐(제 2종 오류가 커짐)
-> 제 1종 오류 alpha를 x축, 검정력 power를 y축에 둔 그래프
- 오류의 상충 : 제 1종 오류를 범활 확률을 작게하는 검정은 제 2종 오류 확률을 높임
검정의 선택
- 제 1종 오류 범확 확류이 일정 수준 이하인 검정 중 제 2 오류 범할 확률을 가장 작게하는 검정 선택
- 유의 수준 : 제1 오류를 범할 확률의 최대 한계
- 수준 alpha 검정 : 제 1종 오류를 범활 확률이 alpha이하인 검정
검정 함수

검정 함수 일반화
- 연속형에서는 괜찬으나 이산형인경우 검정 함수가 5%에 딱맞는 유의수준이 존재하지 않을수있음.
- delta(x) = 1 : 귀무가설 기각
- delta(x) = 0 : 귀무가설 기각 x
- delta(x) = 1/2 : 귀무가설 기각확률 0.5
최강력 검정 개요
- UMVUE와 같은 개념으로 볼수 있음
- 단순 가설 simple hypothesis : 귀무가설이나 대립가설하에 X의 확률분포가 하나로 결정.
ex. H0: theta =1
- 복합 가설 composite hypothesis : 확률분포가 하나로 결정되지 않을때 가설
ex. H1: theta >1 , H1:theta != 1
귀무가설과 대립 가설이 모두 단순 가설인 경우
- 아래와 같이 표현 가능
H0: theta = theta0 vs H1: theta=theta1
최강력 검정 most powerful test
- 기각역이 R인 검정이 아래의 조건을 만족하는 경우 유의수준 alpha에서의 검정

=> 제 1종 오류를 범할 확률이 alpha 이하인 검정 중에서 제 2종 오류를 최소로 하는 검정
네이만-피어슨의 보조정리 neyman-pearson lemma
- 최강력 검정을 구하는 구체적인 방법

- 상수 k에 대해 주어지는 기각역 R이 P(X는 R의집합 | H0) = alpha일때,
기각역 R인 검정이 유의수준 alpha에서의 최강력 검정
- f(x |theta0), f(x|theta1)은 귀무가설과 대립가설이 참인 경우 확률 밀도 함수
가능도비 검정
- 최강력검정은 귀무가설과 대립가설이 모두 단순 가설인 경우 사용 가능
- 귀무가설, 대립가설이 복합가설인 경우 사용되는 검정으로 가능도비 검정
일단 통개학 개론을 모르고 바로 수리 통계학을 하다보니 어려움을 많어서 잠깐 여기서 멈추고
개론 부터다시 시작해야될듯 싶다.
'수학 > 통계' 카테고리의 다른 글
| 통계 - 13. 통계적 가설 검정 2 (0) | 2020.10.26 |
|---|---|
| 통계 - 12. 통계적 추정 1 (0) | 2020.10.26 |
| 통계 - 10. 점추정량 비교2 (0) | 2020.10.26 |
| 통계 - 9. 복습? (0) | 2020.10.26 |
| 통계 - 8. 점추정량 비교 (0) | 2020.10.26 |