확률 관련 기초 용어
- 확률 probability : 확률 변수가 특정한 값/구간에 속할 가능성으로 0 ~ 1의 값으로 표현
- 확률 실함 random experiment : 결과를 알수 있는 실험
- 시행 trial : 확률 실험을 수행하는 행위
- 원소 element : 시행의 결과
- 표본 공간 sample space : 모든 원소들의 집합
- 사건 event : 표본 공간의 부분집합으로 관심 대상(원소)로 구성
확률의 정의
- 빈도주의 정의 : 관심 사건 횟수/ 전체 실험의 횟수
=> P(A) = lim n(A)/n
- 주관주의 확률 : 믿음의 정도
확률 변수 random variable
- 확률 실험의 모든 가능한 결과에 일정한 규칙에 따라 특정 값을 부여한 것
- 표본 공간을 실수로 변환하는 함수
- 정의역이 표본공간, 치역이 실수인 함수
확률변수 예제
확률 변수 X ~ B(3, 1/2)
동전 던지기
앞면의 횟수 0 1 2 3
확률 1/8 3/8 3/8 1/8

복습
표본 분산의 확률 분포
- 대표적으로 카이제곱 분포와 t분포가 있음.
카이제곱분포
- 모분산 추정, 적합도 검정, 교차표 검정에 사용
- 감마 분포의 특수한 경우 r = n/2, lambda = 1/2인 경우 확률변수 X는
=> X ~ chi2(n)으로 표현
카이제곱 분포의 특성

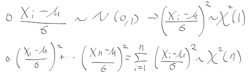
표본분산 S2의 확률분포

t분포의 필요성
- 보통 모집단이 정규분포를 따르고, 확률변수들이 독립이면 아래와 같으나

- 보통 확률 표본을 추출한 경우 모집단의 분산을 알수 없음
=> 표본분산 S2를 구하고 sigma2대신 사용.
- 의문점 : S로 대채한 다음 통계량의 분포는 어떻게 될까?

t분포
- 위 통계량의 분포는 정규분포가 아니라 t분포를 따름
- t 통계량의 pdf를 구하려면 정규분포와 카이제곱분포를 사용해야함.

t분포의 확률밀도함수
- 변수 변환법으로 구하면

'수학 > 통계' 카테고리의 다른 글
| 통계 - 11. 통계적 가설 검정 (0) | 2020.10.26 |
|---|---|
| 통계 - 10. 점추정량 비교2 (0) | 2020.10.26 |
| 통계 - 8. 점추정량 비교 (0) | 2020.10.26 |
| 통계 - 7. 점추정 (0) | 2020.10.25 |
| 통계 - 6. 표본분포 (0) | 2020.10.25 |