집합 set
- 서로 구별할수 있고 명확히 정의된 것들의 모임
원소 element
- 집합을 구성하는 요소들
원소의 표기법
- 원소 나열법 : 집합과 원소들 전체를 나열한 것
- 조건 제시법 : 집합에 속하는 원소들에 대한 조건을 써서 보여주는 방법
- 아래의 그림은 원소 나열법의 예시(패턴인식). 특징 벡터 X의 원소로 x1, x2, ...., xn이 존재하는데 원소나열법으로 표기

부분집합
- 일부 원소들의 모임
- 위 그림의 예시를 들자면 x1 ~ x3까지의 원소들이 Y라는 집합을 구성한다고 하자 Y는 집합 X(특징 벡터)의 부분집합임
* 내가 넣고 싶은 내용만 넣다보니 생략한것도 많습니다.
확률
- 특정한 사건이 발생할 가능성을 나타내는 척도
고전적 의미의 확률
- 표본 공간 sample에서 사건 event에 속하는 원소들이 차지하는 비율
=> P(A) = 사건 A의 원소 갯수 / 표본 공간에 존재하는 전체 워소의 갯수
함수
- 두 집합에 속하는 원소간의 관계
- ex. y = f(x)
함수 관련 표기
- 집합 X에서 Y로의 함수 f => f : X -> Y
* 즉 함수 f는 집합 X에서 Y로 대응 관계를 가짐 => x값을 주면 y값으로 바꿔준다 ! == y = f(x)
* 위 개념은 선형 대수나 공업 수학 등에서 많이 나오는 형태이므로 꼭기억하자
* 생긴건 되게 간단하고 뭔뜻인지 알거같은데 정확하게는 몰라서 힘들었다 ...
정의역 치역 공역
- 위에서 집합 X에서 Y로의 함수 f에 대한 표기 f : X -> Y를 살펴보았는데
- 여기서 집합 X를 정의역, Y를 공역이라 한다.
* 정의역은 함수 f의 입력이 되는 집합, 치역은 x를 입력했을때 함수 f의 출력이 되는 집합!!

- 정의역 X의 원소가 함수 f를 통해 대응되는 집합 Y 원소들의 모임(부분집합)을 치역이라 부름

전사, 단사, 전단사, 역함수

기함수 우함수
- 우함수 even function : f(-x) = f(x) => 좌우 대칭인 함수
- 기함수 odd function : f(-x) = -f(x) => 좌우 상하 대칭인 함수

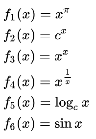
초월함수 transcendental function
- 시간에 따라 선형적으로 증가가 아니라 갑자기 증가하는 형태를 가짐
- 아래의 그림은 초월 함수의 예시들

대수함수 algebraic function
- +, -, *, /과 같은 대수연산으로 이루어진 함수

'수학 > 수학, 수치해석' 카테고리의 다른 글
| 대학수학 - 5. 수열 (0) | 2020.08.10 |
|---|---|
| 대학수학 - 4. 수학과 컴퓨터 과학의 분야 (0) | 2020.08.07 |
| 대학수학 - 2. 수학의 개요 (0) | 2020.08.06 |
| 대학수학 - 1. 시작 (0) | 2020.08.06 |
| 수치해석 - 1. 수치해석학 소개 (0) | 2020.07.10 |