용어
- 요인 factor : 결과값의 산포에 영향을 주는 원인들 중 실험에서 직접 취급되는 원인
- 반응 response : 실험의 결과로 얻어지는 양적자료
- 수준 level : 실험을 하기 위한 요인의 속성
- 처리 treatement : 요인의 수준 혹은 요인 수준의 좋바
- 실험 단위 experimental unit EU : 처리받는 대상, 다른 처리가 가해지는 최소 단위
- 관측 단위 Observational unit OU
일원 배치법 One-way ANOVA
- 고려하는 요인이 하나인 경우로 완전 랜덤화 설게를 전제로함
- 각 처리에 대한 데이터들은 정규분포를 따르는것을 가정
- mu_i = i번쨰 처리의 모평균
- 공통분산 sigma2를 가정
- 균형자료(등반복실험)을 가정
- 데이터 구조 => i번째 처리에서 j번째 반복을 함

- 모형

- 가설

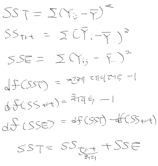
- 분산분석표

- 총변동 등 정리

MS 제곱평균 Mean Square

완전 랜덤화 설계 CRD Completely Randomized Design
- N = rt 개의 EU를 사용하여 t개의 처리 비교
이원배치법
- 고려하는 변수가 2가지 있을떄.
범주형 자료분석
적합도 검정 goodness of fit test
- 관측 결과가 가설에 의해 주어진 확률분포를 잘 따르는지 확인하는 검정방법
=> 관측 도수의 기대도수에 대한 적합성여부 판정
- 가설
H0 : 관측 도수는 기대 도수를 잘 따른다.
H1 : 관측 도수는 기대 도수를 잘 따르지 않는다.
- 검정 통계량

1. 범주형 자료분석 (독립성 검정)
- 범주형 대 범주형
- 귀무 가설 h0 : 두 범주형 변수간 차이 x, 관계 x, 영향 x
- 대립가설 h1 : 두 범주형 변수간 차이 o, 관계 o, 영향 o
=> 우리는 두 변수간에 관계, 영향이 있는지 알고싶기 때문
2. 분산 분석
- 범주형 vs 연속형
- 귀무가설 h0 : 범주형 변수의 수준별로 연속형 변수의 평균이 같다. 동일하다.
- 대립가설 H1 : 범주형 변수의 수준별로 연속형 변수의 평균이 같지 않다.차이가 있다.
3. 상관 분석
- 연속형 vs 연속형
- H0 : 두 변수는 관계가 없다. 독립이다.
- H1 : 두 변수는 관계가 있다. 의존이다.
4. 회귀 분석
- 연속형 vs 연속형
- 상관 분석과 차이점은 X, Y가 존재하여 X가 Y에 영향을 주느냐가 중요
- H0 : 독립변수가 종속변수에 영향을 미치지 않는다.
- H1 : 독립변수가 종속변수에 영향을 미친다.
'수학 > 통계' 카테고리의 다른 글
| 파이썬R - 2. R 데이터처리 (0) | 2020.10.27 |
|---|---|
| 파이썬R - 1. 파이썬 pandas (0) | 2020.10.27 |
| 통계 - 15. 표본 분포와 가설검정 (0) | 2020.10.27 |
| 통계 - 14. 구간추정 (0) | 2020.10.27 |
| 통계 - 13. 통계적 가설 검정 2 (0) | 2020.10.26 |