728x90
EMC 관점 수동 소자
1. 저항
2. 캐패시터
3. 인덕터
4. Ferrite Bead
5. EMI Filter
6. Common Mode Choke Coil
7. 3단자 캐패시터
저항 registor
- 전류 흐름을 억제하는 소자
- 옴의 법칙 : I = V/R
- 저항 특성 : 캐패시터 , 인덕터와 달리 전력 소모
- 기호

- 물리적 원리 : rho는 물질의 비저항(고유저항), s는 물질의 단면적, l은 길이
=> 저항은 고유저항과 길이에 비례, 단면적에 반비례


저항의 종류
1. 직렬 접속 저항
- V = IR에 따라 R은 직렬합

2. 병렬 접속 저항
- 병렬 접속으로 인해 직렬에 비해 저항의 크기가 줄어듬

캐패시터 capacitor
- 에너지 저장하는 소자
- 저장 에너지

- 교류 저항

- 시간 영역에서 캐패시터의 전류 전압과의 관계식

- 기호

- 물리적 원리 : epsilon_0는 자유공간 유전율, epsilon_r은 비유전율, d는 전극간 거리, S는 전극 면적


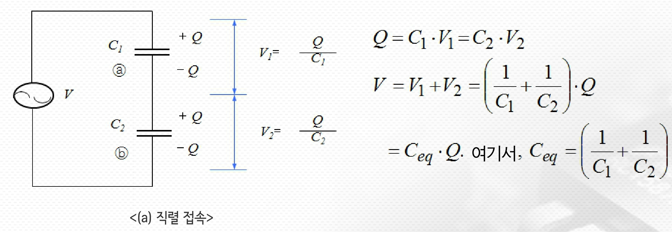
캐패시터의 합성
1. 직렬 연결

2.병렬 연결

캐패시터와 SRF Self Resonant Frequency
- 동작 주파수가 증가할수록 Passive 소자의 제작 구조상 발생하는 기생 캐패시턴스와 인덕턴스의 영향으로 의도된 임피던스 특성과 겨양과 반대로 동작하기 시작하는 주파수
- 캐패시터의 경우 SRF보다 높은 주파수에서 인덕터로 동작

300x250
'로봇 > 전기전자&메카' 카테고리의 다른 글
| 프로토타이핑 - 2. 만들어 보고 싶은 것들 (0) | 2020.08.11 |
|---|---|
| 프로토타이핑 - 1. 목표와 디자인 프로세스 개요 (0) | 2020.08.11 |
| 하드웨어회로설계 - 2. 전자파 대응 설계 필요성 (0) | 2020.08.10 |
| 하드웨어회로설계 - 1. orcad 개요 (0) | 2020.08.10 |
| 마이크로프로세서 메카트로닉스 제어 - 11 외부 인터럽트 (0) | 2020.05.14 |