728x90
자연 과학에서 유용하게 사용되는 도함수
- 기울기 벡터, 발산, 회전
기울기 벡터 gradient
- 스칼라 함수 f가 주어질때 grad f가 기울기 벡터

방향 도함수 directional derivative
- 스칼라 함수 f의 a 방향 변화율


- D_a f는 a 방향의 변화율로 theta 값에 따라 i방향과 j방향 성분을 구할수 있음.
-> 방향도 함수는 편미분을 임의의 방향으로 나타낸 개념

기울기 벡터의 의미
- 스칼라 함수 f의 기울기 벡터는 다음의 방향을 가리킨다.

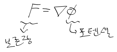
포텐셜 potential과 보존장 conservative field
- 아래의 식이 주어질때 스칼라 함수를 기울기 벡터의 포텐셜, 기울기 벡터를 보존장

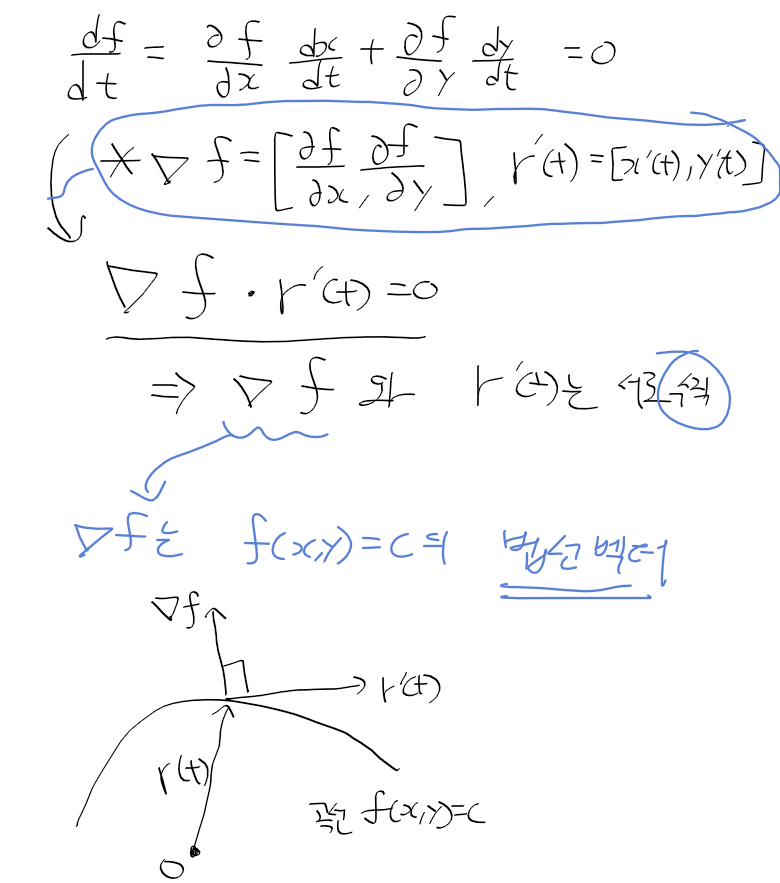
등위 곡선과 법선 벡터
- 곡선 f(x, y) = c가 곡면 z = (x, y)의 등위 곡선일때, 곡면의 매개변수 벡터함수 r(t) = [x(t), y(t)]로 정의
- 곡선 f(x, y) =c 를 시간 t에 대해서 미분하면 다음과 같다.
=> 법선 벡터는 스칼라 함수 f가 가장 급격히 증가하는 기울기 벡터

300x250
'수학 > 공업수학, 확률' 카테고리의 다른 글
| 베이즈 통계학 - 2. 기대값, 분산, 표준편차와 다양한 확률분포 (0) | 2020.07.15 |
|---|---|
| 베이즈 통계학 - 1. 베이즈 통계 (0) | 2020.07.15 |
| 공업수학 - 34. 벡터함수와 벡터장 (0) | 2020.07.15 |
| 공업수학 - 33. 다변수 함수와 편미분 (0) | 2020.07.15 |
| 공업수학 - 32. 계급과 역행렬, 행렬식, 크래머 공식 (0) | 2020.07.15 |