표본 비율의 분포
표본 분산의 분포
중심 극한정리
??
- 표본비율 : 원소가 0, 1로 구성된 모집단에서 추출한 표본들의 평균
ex. 지지율, 찬성율
- 표본분산 : 모집단에서 추출된 표본의 변동성을 나타내는 통계량
-> 모분산 추정시 사용
- 중심극한정리 : 표본 수가 증가하면 표본 평균이 정규 분포에 가까워진다.
표본 비율 분포 예시 - 지지율
- 1,000명 마을에 대표자 100명 선출.
- 정책 지지도를 구하였더니 100명중 60명이 찬성
- 한사람 한사람은 확률 변수. 각 확률 변수는 베르누이 시행 B(1,p)을 따른다.
=> 모집단 : 1000명, 표본 : 100명. 지지율(표본 비율) : 60%
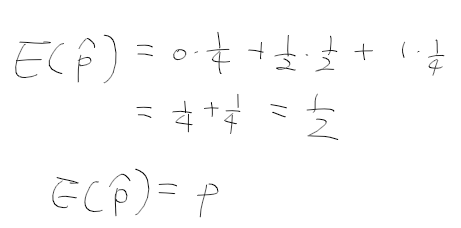
표본 비율
- 모집단 원소값이 0, 1인 경우에서의 표본 평균

표본 비율의 분포 구하기

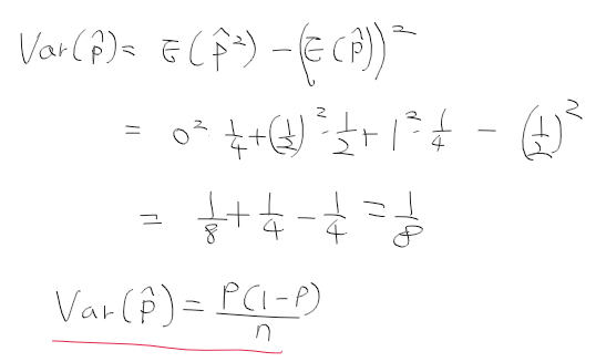
표본 비율 기대값/분산 구하기


표본 비율
- 이항 분포 B(n, p)을 따르는 확률 변수 Sn(Sigma X_i)를 표본수로 나눈것
- 표본수가 커지면서 S_n은 정규분포에 가까워짐

이항 분포
- n이 큰 경우

표본 비율의 분포
- n이 클떄 정규분포에 근접해짐

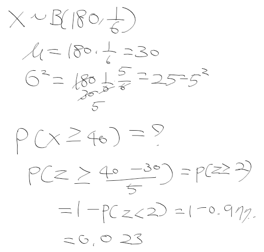
이항분포의 예시
- 주사위 180번 던질떄 6이 나올 획수가 40이상일 확률

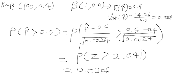
표본 비율 확률의 예시
- 모집단 흡연 비율 0.4인 학생 100명의 흡연 여부조사시. 흡연 비율이 50%보다 클 확률

표본 분산
카이제곱 분포 chi square distribution


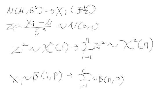
- 정규 분포 N(mu, sigma^2)인 모집단에서 n개의 확률 변수 X1, X2 ..., Xn
- 정규 모집단에서 표본을 뽑았다는 가정

잠깐 중간부터 좀 꼬이기 시작하는데
표본 분산이고, 표본 평균의 분산, 표본 분산의 분산 왜이렇게 얘기되는지 햇갈려서
존이 님의 블로그 참고
blog.naver.com/mykepzzang/220850395100
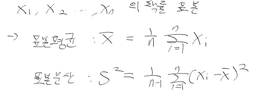
1. 모집단에서 확률 표본 x1, ... , xn을 추출
2. 표본평균과 표본 분산을 다음과 같이 구할 수 있음.

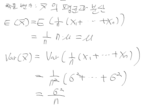
3. 표본 평균을 새로운 확률 변수로 보자 -> 표본 평균의 평균과 표본 평균의 분산을 구할 수 있음.
ex. 평균 신장
-> 서울 평균 신장, 대구 평균 신장 등 다 다르므로, 지역별 평균 신장으로 평균과 분산을 또구해볼 수 있다.

* 표본 분산의 기댓값은 모집단의 분산과 같다고 한다!

중심극한정리 total central theorem
- 평균 mu와 분산 omega^2인 모집단에서 n개의 표본을 뽑았을때
- 표본이 커질수록 표본 평균은 정규 분포를 따르게 된다.
'수학 > 통계' 카테고리의 다른 글
| 통계 - 1. 통계 개요 (0) | 2020.10.23 |
|---|---|
| 데이터분석 - 13. 확률기초 4 (0) | 2020.10.22 |
| 데이터분석 - 11. 확률기초 2 (0) | 2020.10.21 |
| 데이터분석 - 11. 확률기초 (0) | 2020.10.21 |
| 데이터분석 - 10. 다양한 분석 방법과 검정 (0) | 2020.10.21 |