베이즈 정리
- 역확률이라고 할수있음.
- 주어진 정보로 모르는 확률을 구함.
조건부 확률이란?
- 어떤 사건이 발생했다고 가정할때 다른 사건이 발생할 확률
주사위를 던질때 1이 나올 확률?
- S = {1, 2, 3, 4, 5, 6}
- A = {1}
- P(A) = 1/6
주사위를 던질때 짝수가 나올 확률
- B = {2, 4, 6}
- P(B) = 1/2
주사위 눈이 1, 2, 3 뿐이라는 정보를 알때 1이 나올 확률
- S = {1, 2, 3}
- A = {1}
=> P(A) = 1/3
주사위 눈이 1, 2, 3뿐일때 짝수가 나올 확률
- S = {1, 2, 3}
- B= {2}
=> P(B)=1/3
사건 B가 주어질때 사건 A가 일어날 확률
=> P( A | B) 조건부 확률 conditional probability

추론 방식? 확률을 다루는 두가지 관점
- 빈도론자 : 평균이 높은 사람이 우수
- 베이지안 : 조건부 확률 계산
빈도론 Frequentism, 빈도론자 Frequentist
- 빈도론적 확률론
- 사건의 빈도에 중점을 둠
베이지안 bayesian
- 사전지식의 불확실성을 다룸
- 확률을 믿음의 정도 belief of degree로 다룸

베이즈 정리
- 주어진 정보(사건 A, 사전 확률)로 또 다른 정보(사건 B일 확률, 사후 확률)을 구하는 것
- ex. A번 라인에서 불량품이 나올 확률 -> 불량이 나왔는데 A번 라인일 확률
전체 불량률

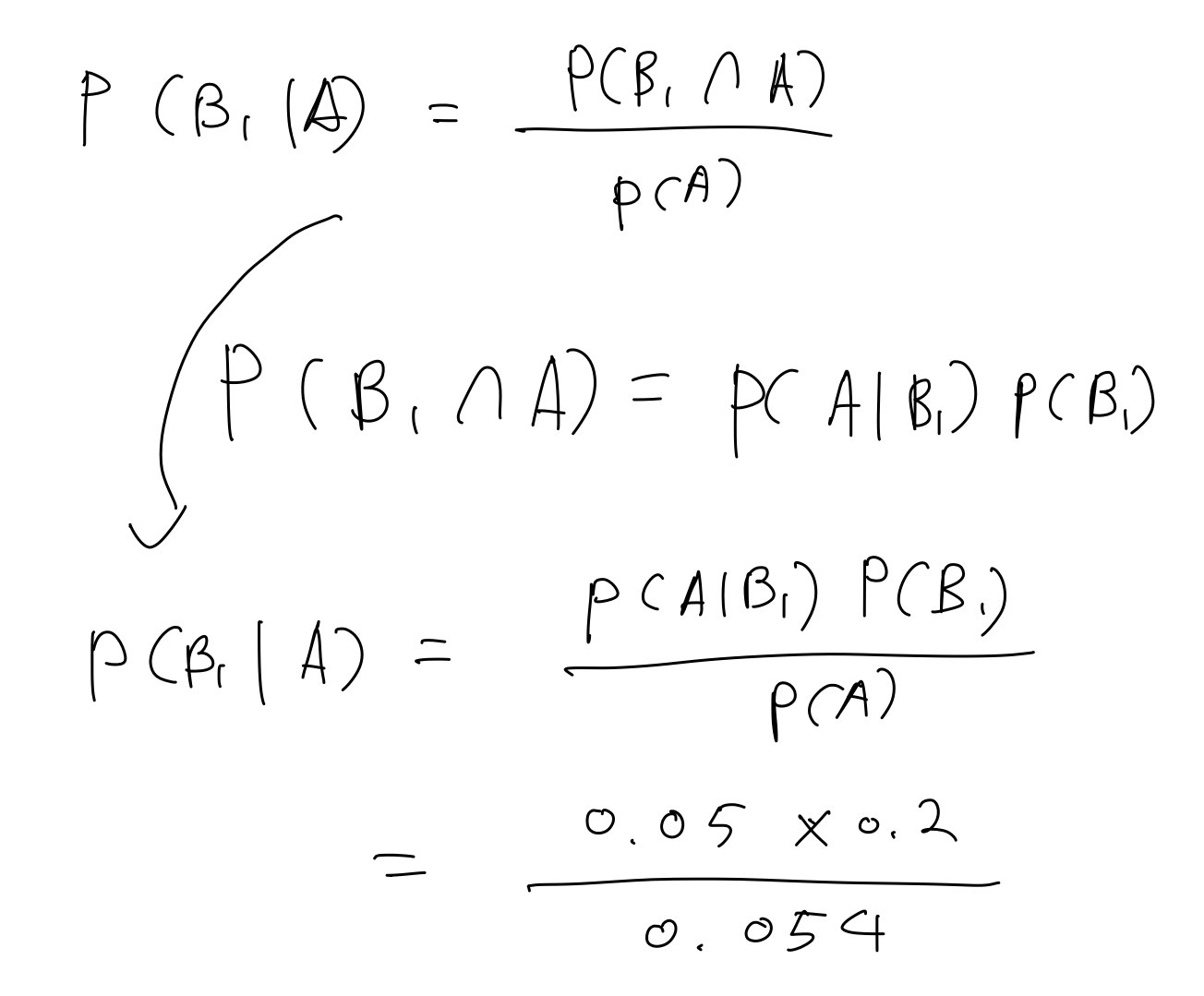
불량품이 나왔는데 B1 라인의 경우?

통계 수강생중 10%가 A학점, 비전공자중 A 받은 학생이 전체의 5%, A학점 받은 학생이 비전공자일 확률

베이즈 정리
1. 주어진 정보로 전체 확률을 구함
2. 역확률 계산
전체 인구 중 질병에 걸릴 확률, 진단 시약이 질환자 중 98% 양성, 비질환자중 90% 음성
- 진단 결과가 양성일때 질병에 걸릴 확률

- 진단 결과 음성인데 질병에 안걸렷을 확률

독립
- 사건 A에 대한 정보로 사건 B에 관한 정보를 얻을수 없음
배반
- 사건 A와 사건 B가 공통이 없는 경우

확률 변수 관련 개념
- 확률 변수 random variable : 확률 실험에서 실험을 수로 표현한 변수
- 확률 분포표 : 확률변수값에 확률을 대응한 표
- 누적확률분포함수 cumulative probability distribution funtion :확률 변수 어느값 이하로 누적하여 구한 함수
- 확률 질량함수 : 이산 확률변수(셀수 있는)의 확률 표현
- 확률 밀도 함수 : 연속 확률 변수(셀수 없는)확률 표현


'수학 > 통계' 카테고리의 다른 글
| 데이터분석 - 10. 다양한 분석 방법과 검정 (0) | 2020.10.21 |
|---|---|
| 데이터분석 - 9. 회귀모형 (0) | 2020.10.21 |
| 데이터분석 - 7. 시각화 2 (0) | 2020.10.20 |
| 데이터분석 - 6. R 시각화 (0) | 2020.10.20 |
| 데이터분석 - 5. 확률기초 (0) | 2020.10.19 |