728x90
확률 밀도 함수의 모드
- PDF에서의 모드란 봉우리를 의미함
- 아래의 그림은 모드, 미디안, 평균의 차이를 보여줌

모드 탐색 mode seeking
- 주어진 점이 어느 모드에 속하는지 찾는 것
- x가 주어질때 어느 모드에 속할까?

샘플로부터 확률 밀도 함수 구하기
- 가우시안 분포를 따르는 데이터들의 산점도

- 모집단 확률 밀도 함수

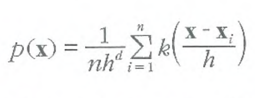
확률 밀도 함수에 커널 적용하기
- 특정 샘플 x의 확률 값을 추정하는 공식

- 파젠창(평평한 커널)을 사용한 경우. 대역폭 0.5

- 가우시안 커널을 적용한 경우. 대역폭 0.1

- 가우시안 커널. 대역폭 1
-> 대역폭이 클수록 커널 안에 많은 점들이 들어와 매끄러워짐. 커널이 작으면 거칠어짐

*http://prayingforfamily.blogspot.com/2016/08/blog-post.html
차원의 저주
- 방금 본 예제는 2차원 공간에서의 확률 값 계산
-> 차원이 커지면 계산해야할 양이 급격히 커짐
300x250
'로봇 > 영상' 카테고리의 다른 글
| 컴퓨터 비전 - 17. 특징 기술자 (0) | 2020.07.29 |
|---|---|
| 컴퓨터 비전 - 16. 민시프트(평균이동?)와 클러스터링 (0) | 2020.07.29 |
| 컴퓨터 비전 - 14. 정규화 영상 분할 (0) | 2020.07.28 |
| 컴퓨터 비전 - 13. 최소 신장 트리를 이용한 영역 분할 (0) | 2020.07.28 |
| 컴퓨터 비전 - 12. 영역 분할 (0) | 2020.07.28 |