728x90
이전부터 정보이론을 공부해야지 알기는 했지만
제대로 해볼 엄두가 잘 나지를 않았다.
답답한건 어쩔수 없지만
가장 자주나오는 샤논의 정보이론 내용만이라도 조금 정리해보려고 한다.
이 내용에 대해서
이광근 교수님 강의가 유튜브에 올라와 있더라
www.youtube.com/watch?v=UwUR7vl4VgQ
메시지의 정보량
- 메시지 겉모습에 대한 양
- 자주 나오는 것은 정보량이 적고, 많지않은것은 정보량이 많다.
- 엔트로피 : 정보의 예측 불허한 정도
- 불필요한 내용이 들어가면 정보량이 줄어듬
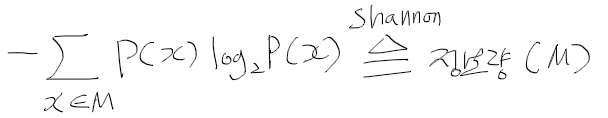
샤논이 정의한 메시지의 정보량
- x : 메시지에 나오는 단어
- p(x) : x가 메시지에서 나올 확률
- 확률에 로그를 취하면 음수가 되므로 앞에 -를 붙임
=> 셔넌 엔트로피 : 모든 사건 정보에 대한 기대값

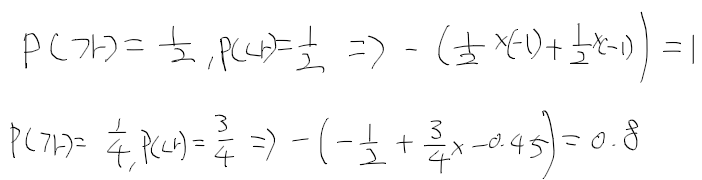
정보량의 예시
- 메시지에 "가", "나"가 절반을 차지하는 경우
=> 두 단어가 차지하는 메시지의 정보량 = 1
- 불규칙성이 줄어들수록 정보량이 줄어든다.


300x250
'컴퓨터과학 > 기타' 카테고리의 다른 글
| 패키지 설치 실패 해결 unable to correct problems you have held broken packages (+ 펌 : apt, dpkg, aptitude가 무엇인가) (0) | 2021.05.03 |
|---|---|
| 알고리즘 연습 - 1. vscode 자동 완성, 인텔리센스가 안될 때 (0) | 2020.12.15 |
| 파이토치과정 - 6. 구글드라이브,코랩에서 kaggle-api연동 (0) | 2020.11.21 |
| 파이토치과정 - 5. 데이터셋 분리/평가 척도/앙상블 (0) | 2020.11.21 |
| 파이토치과정 - 4. 깃랩저장소와 코랩 연동, 회귀/분류 학습, 시각화까지 (0) | 2020.11.14 |